QQ登录

只需一步,快速开始

登录 | 注册 | 找回密码

三维网

 找回密码
 注册

QQ登录

只需一步,快速开始

展开

通知     

全站
10天前
查看: 1470|回复: 1
收起左侧

[求助] 大家帮忙看看这是什么材料?

[复制链接]
发表于 2011-6-15 14:10:04 | 显示全部楼层 |阅读模式 来自: 中国山东青岛

马上注册,结识高手,享用更多资源,轻松玩转三维网社区。

您需要 登录 才可以下载或查看,没有帐号?注册

x
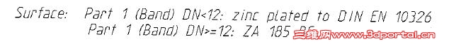
大家帮忙看看这是什么材料?对应国内是什么材料?价格如何呢?
" G. k9 v0 Z" S3 i& f% |
) C) B& K! @9 V+ m3 X另外这种镀层标准哪个可以给俺一份?谢谢了5 R9 e* L: \$ L6 V- C( l3 ?; V

- B1 p  d9 c; A/ Z Material.JPG surface coating.JPG
发表于 2011-6-16 19:57:27 | 显示全部楼层 来自: 中国辽宁大连
S320GD-Z275-M-A是热镀锌钢板
: L% a# U# y! }  q: |, @! O! Ahttp://www.baosteel.net.cn/baost ... duxin/product01.htm, k( D6 `9 D( v5 Z, e! s

$ Q) _* t* m- K* J7 w4 EDP600是一种热轧双相钢,高强度。# N: D& \) v' Z' d
, q6 O2 h0 U. x0 `" R
DIN EN 10326-20046 L! [8 v# m! U4 ^( ^( p
http://wenku.baidu.com/view/ec3cc969a98271fe910ef93d.html# w6 ?# u; w3 |9 T; V4 ?# l; [

% m9 J% N9 @7 q% }" p3 {5 Bhttp://www.bzfxw.com/soft/sort024/sort04/441609.html

评分

参与人数 1三维币 +2 收起 理由
tdragonfu + 2 技术讨论

查看全部评分

发表回复
您需要登录后才可以回帖 登录 | 注册

本版积分规则


Licensed Copyright © 2016-2020 http://www.3dportal.cn/ All Rights Reserved 京 ICP备13008828号

小黑屋|手机版|Archiver|三维网 ( 京ICP备2023026364号-1 )

快速回复 返回顶部 返回列表