QQ登录

只需一步,快速开始

登录 | 注册 | 找回密码

三维网

 找回密码
 注册

QQ登录

只需一步,快速开始

展开

通知     

全站
2天前
查看: 2948|回复: 21
收起左侧

[已解决] 求面积问题

[复制链接]
发表于 2012-2-24 10:55:23 | 显示全部楼层 |阅读模式 来自: 中国上海

马上注册,结识高手,享用更多资源,轻松玩转三维网社区。

您需要 登录 才可以下载或查看,没有帐号?注册

x
各位大侠,现在有一个图形,求阴影部分面积,如附图所示:1.用solidworks画 怎么求  2.如果不用solidworks,cad直接计算,怎么求,不能用三角函数,谢谢。
11.JPG
发表于 2012-2-24 11:08:28 | 显示全部楼层 来自: 中国河北廊坊
Snap1.jpg

评分

参与人数 1三维币 +2 收起 理由
chenjun520601 + 2 应助

查看全部评分

发表于 2012-2-24 11:14:34 | 显示全部楼层 来自: 中国河北廊坊
Snap1.jpg
) D2 x, X- B. X+ N; R, X* \CAD面积计算

评分

参与人数 1三维币 +2 收起 理由
chenjun520601 + 2 应助

查看全部评分

发表于 2012-2-24 11:14:36 | 显示全部楼层 来自: 中国江苏常州
基本功不扎实害死人啊!
未命名.JPG

求面积.zip

13.83 KB, 下载次数: 3

评分

参与人数 1三维币 +2 收起 理由
chenjun520601 + 2 应助

查看全部评分

 楼主| 发表于 2012-2-24 11:15:15 | 显示全部楼层 来自: 中国上海
二楼的方法正确,谢谢了。我是新手。呵呵 顺便问一句,能否通过计算求出截面积?这是我更想知道的 2# gld123
 楼主| 发表于 2012-2-24 11:16:51 | 显示全部楼层 来自: 中国上海
谢谢各位楼主 我想知道计算方法 不能用三角函数
发表于 2012-2-24 11:22:06 | 显示全部楼层 来自: 中国安徽合肥
面积:96.1739mm^2.
3 d' Y7 |3 N  C4 Z一、用SW
  F3 x: g+ P% c+ W3 d如图:$ z! G  @- Y+ V8 n
求面积.JPG 0 V( Z3 }9 m3 D7 T, y
二、用AutoCAD; P& y) u1 F/ M% E2 O" O) w, \
画好图后,用region创建面域,用massprop查询面积。

评分

参与人数 1三维币 +2 收起 理由
chenjun520601 + 2 技术讨论

查看全部评分

发表于 2012-2-24 11:50:43 | 显示全部楼层 来自: 中国安徽合肥
6# beicandexiong 8 H2 n; ~5 ~$ ?8 l* x

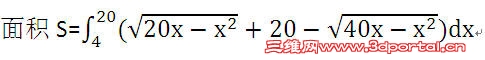
" w7 E- O$ c4 B. Z9 L不用三角函数用微积分可以不?
; v. F4 X; W; s 求面积2.JPG

评分

参与人数 1三维币 +2 收起 理由
chenjun520601 + 2 技术讨论

查看全部评分

 楼主| 发表于 2012-2-24 11:59:08 | 显示全部楼层 来自: 中国上海
这个积分积不出的吧,根号内有负数,谢谢了。我直接作图吧,各位大侠辛苦了 8# 大隐于市
发表于 2012-2-24 12:04:21 | 显示全部楼层 来自: 中国辽宁盘锦
这个积分积不出的吧,根号内有负数,谢谢了。我直接作图吧,各位大侠辛苦了 8# 大隐于市
0 V  E2 |& E0 W( l" K- Q2 I7 K5 kbeicandexiong 发表于 2012-2-24 11:59 http://www.3dportal.cn/discuz/images/common/back.gif
我们习惯用软件来工作了
发表于 2012-2-24 12:51:31 | 显示全部楼层 来自: 中国安徽合肥
本帖最后由 大隐于市 于 2012-2-24 12:54 编辑
) N" M5 u  P( N  L. a# e8 D2 Y/ L- ~# O7 Z* |
9# beicandexiong 2 ]2 l+ W8 v8 \5 n) |3 s
: A* w; F% `: q* i
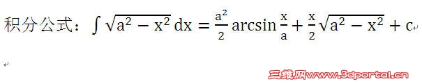
a>0时,有如下积分公式:
4 ]& N  w8 y& K( j 积分公式.JPG
6 X: }6 j; O" ~20x-x^2=100-(10-x)^28 W  e, E( n& r# R% J9 a" K& |
40x-x^2=400-(20-x)^2
发表于 2012-2-24 14:36:36 | 显示全部楼层 来自: 中国上海
8# 大隐于市 ; Q  U, }; I" g5 T
天啦,现在微积分认识我,我已经多少年不认识它了。
发表于 2012-2-27 14:35:47 | 显示全部楼层 来自: 中国天津
面积 = 96.17 毫米^2" z& W8 ~7 _; h8 I5 v6 ?

8 z% y# L( t; ~4 k; `相对于草图原点的重心: ( 毫米 )
, [$ N+ P$ x. b0 G! {& y2 N        X = 12.65
9 ?1 L" l! V/ f: E) D$ M        Y = 14.714 d, F& Z( [3 O3 @5 ]7 w. Q
* D; b5 G4 M  @; ]9 V; R' X
相对于零件原点的重心: ( 毫米 )  p. Z/ ~$ }% O
        X = 12.65
( a, }8 \, e. k5 Q6 l0 R        Y = 14.711 L7 g6 n! X) C; J4 s' b' ^0 ?
        Z = 0.00
8 O# e8 O1 `4 j. i9 `+ |
% U& n. e. T$ j8 k& S' z在重心的区域惯性矩 : ( 毫米 ^ 4 )
" y8 \& G, j1 W) }2 F        Lxx = 601.60        Lxy = -522.76; ], |, q" ^- H- N. S7 u+ Q
        Lyx = -522.76        Lyy = 1385.73
+ T1 Z% R! L& \) ^7 @2 ^  s
: `$ _( i. k! o1 W& P, F在重心的区域惯性极力矩 = 1987.33 毫米 ^ 4
: r5 K2 N+ u: |+ D, p
, g: @8 ?# o5 v位于主轴和草图轴之间的角度 = 26.57 度* Y# X, E* \4 R4 i5 ?/ Y4 _

: [7 h, K3 \1 t- c& b9 s6 [在重心的区域惯性二次矩 : ( 毫米 ^ 4 )+ Y& x4 e" k5 ?
        Mx = 340.22+ e7 Z$ {# ]: i# }% D
        My = 1647.11

评分

参与人数 1三维币 +2 收起 理由
chenjun520601 + 2 感谢积极参与讨论

查看全部评分

发表于 2012-2-27 19:13:34 | 显示全部楼层 来自: 中国宁夏银川
现在用软件真是太方便了
发表于 2012-2-28 10:30:52 | 显示全部楼层 来自: 中国山东潍坊
简单的问题也不错,毕竟没这么用过
A.jpg

评分

参与人数 1三维币 +2 收起 理由
chenjun520601 + 2 积极参与

查看全部评分

发表于 2012-2-28 15:35:25 | 显示全部楼层 来自: 中国上海
很简单啊,你要把不要的线条删除,修剪一下,CAD就是REG命令
发表于 2012-2-28 15:37:19 | 显示全部楼层 来自: 中国上海
2.jpg

评分

参与人数 1三维币 +2 收起 理由
chenjun520601 + 2 楼上应助

查看全部评分

发表于 2012-2-28 16:14:18 | 显示全部楼层 来自: 中国江苏无锡
这个好像  蛮简单的
发表于 2012-3-25 22:12:37 | 显示全部楼层 来自: 中国江苏无锡
这么简单的图.虽然我积分是搞不成了...
1 e0 E$ j. z' ^3 L. J  i- |. \* y7 REXCEL也搞不成了..因为EXCEL需要公式...2 F# k& R7 G! E( E
但是使用区域拉伸总是最简单的了吧...+ H8 L* V1 E- T/ t
拉伸后测量一下..不就完事了..
发表于 2012-3-26 16:40:31 | 显示全部楼层 来自: 中国江苏扬州
方法很多,学习。
发表于 2012-3-26 21:41:29 | 显示全部楼层 来自: 中国福建福州
9# beicandexiong ( w7 d, p/ T  T9 \

; r) i$ r8 R. y8 B7 L: u9 Ga>0时,有如下积分公式:
0 F( |8 ]* r( P& \  l; e/ o& d$ t5 E2006650
: H! S! E, Z" x! |! O+ T) U20x-x^2=100-(10-x)^2
  Y" P8 h3 y  [2 `40x-x^2=400-(20-x)^2  t9 W( M/ \$ f6 J" F& k
大隐于市 发表于 2012-2-24 12:51 http://www.3dportal.cn/discuz/images/common/back.gif

8 f1 U8 D0 D! q  l4 X& G% Q" C# \
8 z) q# Z* N* c/ A- h+ z7 J' ^/ N- B
楼上的真是高手啊
发表于 2012-4-5 17:11:10 | 显示全部楼层 来自: 中国江苏苏州
我这个也很方便啊
1.jpg

评分

参与人数 1三维币 +2 收起 理由
chenjun520601 + 2 积极参与

查看全部评分

发表回复
您需要登录后才可以回帖 登录 | 注册

本版积分规则


Licensed Copyright © 2016-2020 http://www.3dportal.cn/ All Rights Reserved 京 ICP备13008828号

小黑屋|手机版|Archiver|三维网 ( 京ICP备2023026364号-1 )

快速回复 返回顶部 返回列表