QQ登录

只需一步,快速开始

登录 | 注册 | 找回密码

三维网

 找回密码
 注册

QQ登录

只需一步,快速开始

展开

通知     

查看: 1680|回复: 4
收起左侧

[讨论] 泵和马达

[复制链接]
发表于 2012-4-17 22:21:47 | 显示全部楼层 |阅读模式 来自: 中国北京

马上注册,结识高手,享用更多资源,轻松玩转三维网社区。

您需要 登录 才可以下载或查看,没有帐号?注册

x
我们在做一个试验台,是用一个低速大扭矩马达给另一个设备加载,工况其实是类似于液压泵。有人建议使用泵,有没有高手知道哪个公司生产低速大扭矩泵?转速10r/min最低,扭矩5000N/m。。。
发表于 2012-4-18 09:39:51 | 显示全部楼层 来自: 中国上海
1# longlong37 , d) d6 J6 u1 P# e, c9 H/ ^* b
力士乐的MCR10的径向柱塞马达就可以满足你低速与大扭矩两个条件。
 楼主| 发表于 2012-4-18 19:46:49 | 显示全部楼层 来自: 中国北京
我们本来是选了个马达,但是有人说可以选择一个低速大扭矩泵,可是我找不到这样的泵。。。 2# hq0305
发表于 2012-4-19 16:13:33 | 显示全部楼层 来自: 中国浙江宁波
径向柱塞泵
发表于 2012-5-4 20:42:05 | 显示全部楼层 来自: 中国浙江宁波
本帖最后由 sealive_leafage 于 2012-5-4 20:43 编辑
! Z' C1 ]3 A& ~: F& F* F2 l. A9 J
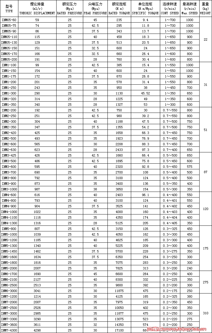
  ?/ |0 o! M2 T& W" t0 t+ e% Xwww.china-ini.com生产的INM6可以解决!
2012042012094547.jpg
发表回复
您需要登录后才可以回帖 登录 | 注册

本版积分规则


Licensed Copyright © 2016-2020 http://www.3dportal.cn/ All Rights Reserved 京 ICP备13008828号

小黑屋|手机版|Archiver|三维网 ( 京ICP备2023026364号-1 )

快速回复 返回顶部 返回列表