QQ登录

只需一步,快速开始

登录 | 注册 | 找回密码

三维网

 找回密码
 注册

QQ登录

只需一步,快速开始

展开

通知     

查看: 2876|回复: 11
收起左侧

[分享] SolidWorks Simulation 分析技巧与诀窍——模型简化

[复制链接]
发表于 2013-4-12 11:55:51 | 显示全部楼层 |阅读模式 来自: 中国北京

马上注册,结识高手,享用更多资源,轻松玩转三维网社区。

您需要 登录 才可以下载或查看,没有帐号?注册

x
作者:实威国际CAE事业部 Simon
      工程师在做结构分析时总是会有一个想法,运用整个组件的模型来分析结构的强度。一个机器的组件常常是几百个零件组装而成。若要将整个组件产生网格运算,常常会遇到网格失败无法产生,或者是已产生的网格在计算机运算时间会拖的很长。这一类问题是很多工程师常遇到的,在处理过程中不断的失败常让工程师产生挫折感不知该如何处理。一般在做分析测试时,有经验的工程师皆会简化模型本身,将问题单纯化来做。至于在SolidWorks Simulation在分析设定时可以运用那些简化技巧,本章节将会介绍几项好用的工具进行简化。
■   组态管理运用:
      分析时最常遇到的一个问题,模型会有细碎面的产生;一般在处理这些细碎面时会运用到抑制特征、删除面、重新铺面、分割线…方式来处理。然而这些图文件也许工程图已产生,当您后续为了要分析而再次编修模型时,工程图内所对应到的特征及边线会改变,整张图纸也许要再重新定义,浪费人员在处理这些边线的问题。也许您会回答我们在做分析时,常常是再次复制一份数据来做,这样子对应到的工程图就不会有特征及边线修改的问题。但如此处理能确保数据的单一性吗?这个数据是正确的吗?面对这些问题,建议可以利用“模型组态”的方式就可以解决。
利用组态管理最主要的好处在于可以确保档案资料单一性,如图1所示用预设(Default)的组态可以去产生所对应的工程图或产生加工,然而想做分析时可以切换到modify by CAE的组态来做,这样子在产生工程图时就不会有线段及特征会有冲突的问题。' X2 x4 T% p% ~- E1 R7 C' z' H

SolidWorks Simulation

SolidWorks Simulation

9 ^! w: F" W8 P5 e: c2 P
1 模型组态
■   对称性的限制条件:
设计时很多造型都是利用规律方式排列产生,长料->除料->数组等等方式来设计图形。仔细观察这些零组件,有些是采1/2对称1/4对称或者是循环对称的方式来做,面对这一类的有规律的造型我们不需要整个模型都产生网格分析,可以寻找到模型的规律性,利用拘束条件内的对称来设定即可。
何谓对称拘束条件?实体网格的每个节点(Node)有三个位移方向的自由度,将在此截面的正向(normal)自由度固定,其他两个位移自由度尚保持存在(图2)。薄壳网格每个节点有三个位移及三个旋转的自由度,将一个位移自由度及两个旋转自由度固定。- ~% Z1 s/ D; e

2 i; `5 s5 J" M6 S2 A$ L# D5 B. a

SolidWorks Simulation

SolidWorks Simulation

2 x: x! V3 V( o* c1 A& X! D1 J: t8 y7 r8 Z0 X% R
图24 T3 n. L: Y4 P# I8 k' p

SolidWorks Simulation

SolidWorks Simulation
$ k6 s$ x! j, d% O% E2 [9 y
图3
墨水夹装置分析为例,面对一个大型的组合件想要设定对称型的条件时,无须对每个零件做切割的动作,最有效率的设定方式在组件下选定平面进行切除动作即可。当然,为了确保档案单一性,在做平面切割前亦可上文所述加入模型组态来做(图4)。
% D& c! l  ~( W1 u4 I

SolidWorks Simulation

SolidWorks Simulation

+ i5 X0 n( e, |9 y! A+ C0 x: G8 E- {+ w) A) b
图4
何谓循环拘束条件?模型类似涡轮、风扇、飞轮及马达转子这一类具有轴心的对象,能建立代表性的模型片段,而片段可以是零件或组合件的方式。其几何、拘束及负载条件必须与构成模型的其他所有片段相类似。在对侧剖面上具有等同相对位置的节点会相应移动。例如,在图5中具有相同色点的位置会同样随之变形。% f1 O0 j- I0 D6 B  B/ J5 e9 a* s

SolidWorks Simulation

SolidWorks Simulation
图5
综合以上的叙述,在设定对称或循环的拘束条件如表1所示:
拘束类型
限制的像素
参考几何类型
对称
实体的面
单向平移
薄壳边线
-
单向平移及 2 向旋转
循环对称
平坦面或
非平坦面
程序会在两个剖面上具有等同相对位置的节点上执行同等平移
■   如何简化不必要的零件-连接器
组装的过程中常常会加入许多的次购品,如螺栓、弹簧、销等这一类的物品,假设此类物品附近应力分布状况不是重点时,我们可以利用SolidWorks Simulation设定中的连接器来代表设定之。利用连接器模拟最大的好处在于次购品应用的数目非常多,且在求解时速度快运用较少的资源。且在计算出来后可以迅速去判断该螺栓或销是否堪用,结果是否符合设计等多项信息。
●   螺栓连接器
机台在组装时会运用到很多螺栓的结合,而在计算的过程螺栓的受力并非我们所着重的重点,此时运用螺栓连接器便最为恰当。SolidWorks Simulation内所提供的螺栓类型一共有五种型式,包含了标准或有螺帽的柱孔有螺帽的锥孔标准或柱孔螺钉锥孔螺钉基础螺栓。上述前四项需要在组合件模式进行设定,唯独基础螺栓可以运用在零件分析再配合虚拟平面设定。% ^( J- t# a) t% t7 i7 g% v+ `+ H

SolidWorks Simulation

SolidWorks Simulation
  b$ m4 \' v# R) _+ G0 q, L2 I

/ ]% A0 \# k- E( L0 s4 G
设定螺栓连接器时,有几项条件是使用者必须要先悉知:
1.          在设定螺栓链接器时不能考虑到因剪力而造成的滑动情形。
2.          设为紧靠密合的圆柱面被视为刚性,且与为刚性体与栓身一起变形。
3.          两接触面须设定无贯穿接触条件。
4.          螺栓连接器加入至连续钻孔的一个孔中时,软件可让螺栓衍生传递至连续钻孔中的其他孔。
5.          无须建构螺纹外型,刚性传递力量。
6.          输入正确的螺栓大小及材质参数,会影响到求解后的结果值;若要考虑到螺栓本身质量亦能设定。
预载力的设定:
预载力来自于锁紧螺栓所需要的力量大小,一般可分为轴向预载力及扭矩预载力,其之间对应的方程式如下;
如果具有螺帽的螺栓,扭矩施力在螺帽上:
                1.jpg (1)
如果没有螺帽的螺栓,扭矩施力在螺栓头上:
             2.jpg (2)
其中;F=螺栓的轴向预载力,T=施加的扭矩,K=摩擦系数,D=栓身直径
扭矩系数:计算包含了螺纹直径、螺纹线角度、摩擦系数、螺纹角之间的关系。扭矩系数一般不容易求得,在软件默认值摩擦系数(K)是以0.2的参数代表。
结果判断:
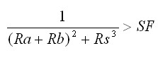
运用螺栓连接器计算时,我们所最在乎的结果大多为螺栓受力时的剪力值、轴向力、弯曲力矩值为何。在判断此组螺栓是否堪用判断式如下;
       3.jpg (3)
其中:
SF=自行设定的安全系数
Ra=轴向负载率
       4.jpg (4)
       F=软件计算出来的轴力
       S=螺栓强度
       At=有效断面积
      
而有效断面积(At)计算方式如下;
        SI: 5.jpg (5)
        IPS 6.jpg (6)
D=螺栓直径;n=节距
Rb=弯曲负载率
       7.jpg (7)
       M=软件计算出来的弯矩
       I=惯性矩
      
Rs=剪力负载率
    8.jpg (8)
       V=软件计算出来的剪力" u0 I% z2 p' `& P% i' `7 M

: D7 _9 ~2 K( G- K% `
# @$ y; P7 F" E% Y1 J# j图7 软件计算出来各组螺栓的数据
检查绘图(1)
现行版本可以利用检查绘图方式呈现螺栓受力情形,如图8所示可显示出那几组螺栓并非通过设定值,会以红色标记呈现。8 y, }5 q3 z( f, q- r* h

SolidWorks Simulation

SolidWorks Simulation

4 g2 g/ G* h- b. w8 X* Y( D9 ~
图8
注1:SolidWorks Simulation 2009之后版本7 ?) X: T3 s. I4 l7 f0 O
销连接器
销连接器的运用与螺栓方式类似,取代整组件内的实体销;但有几项重点处是设计者必须先行悉知:
1.          如果销的应力分布不是重点时,可使用销连接器。
2.          在销连接器所定义的表面是刚性的,所以在靠近销表面的地方会有高应力,若你不重视靠近销表面的应力时可以使用销连接器。
3.          销连接器的所有的面均为同轴心。
4.          两接触面须设定无贯穿接触条件。
5.          可考虑到销本身质量

SolidWorks Simulation

SolidWorks Simulation
/ H. K  W0 E" Z
仿真真实的插销几何的弹性劲度:
销链接器设定上亦可指定轴向及旋转的劲度值为何,设计者需先悉知若设定上有勾选”无平移”则无法设定轴向劲度;若设定上有勾选”无旋转”则无法设定旋转劲度。

SolidWorks Simulation

SolidWorks Simulation

3 j; R/ L. a0 O- k  C图10
结果判断:
计算方式如同螺栓连接器所述,可利用判断式(3)计算求得。现行版本可以利用检查绘图(注1)方式呈现销受力情形。
l        弹性
模拟弹簧之类的问题若不在意弹簧受力状况,仅在乎弹簧付予在结构上的弹力时,可运用弹性连接器来仿真。类型选择上可选择压缩与伸展同时仅压缩仅伸展三种类型;像素选择上可设定两个平行的平面、两个同轴心的圆柱面、两个端点的方式。并设定正向(径向)劲度或切线(剪向)劲度,在设定时要先确认输入的数据为总计值或者分散值。
当检视结果时,以 1.0 的缩放系数来绘制变形的形状以确保零组件之间没有干涉。如果发生干涉,则结果无效。在重新执行研究之前,定义干涉面之间的接触条件。
一般在设定平行面时,一个本体面会自动投影至另一个本体面的共同区域(11);如果没有共同区域,软件无法产生弹簧。共同区域的两平行面投射面积若相等,会得到较精确的结果;为了确保两平行面投影面积相同,使用者在设定上可利用分割线的方式设定。

SolidWorks Simulation

SolidWorks Simulation
图11
       在两圆柱面设定弹力时,无法直接设定总计值的弹簧劲度,此时我们必须要利用分散(Distributed)的弹簧劲度来设定。在软件上所对应径向的面积大小,其理论计算方式如下:
  C4 A( J4 f3 I9 ?* E* P! z

SolidWorks Simulation

SolidWorks Simulation
                      
观看视频:聪明如你,是否也可以轻易打开手铐呢?( x1 m, f* O5 Z# f( K! [

SolidWorks Simulation

SolidWorks Simulation

SolidWorks Simulation

SolidWorks Simulation

评分

参与人数 1三维币 +3 收起 理由
阿帕奇 + 3

查看全部评分

发表于 2013-4-12 12:49:51 | 显示全部楼层 来自: 中国湖南衡阳
管理员,你帮我看看下面那贴的问题吧,
发表于 2013-4-15 18:12:30 | 显示全部楼层 来自: 中国上海
好贴~
发表于 2013-4-19 14:21:03 | 显示全部楼层 来自: 中国辽宁沈阳
简化模型的确是必要的同时具有很高的技术含量。简化得过了会对结论的准确性影响很大。
发表于 2013-5-1 08:41:57 | 显示全部楼层 来自: 中国广东深圳
楼主,有没视频教程什么的,你这么说一大堆文字很难理解,有实例也行。
发表于 2013-5-5 15:17:20 | 显示全部楼层 来自: 中国广东广州
好贴啊!!!!顶起!
发表于 2013-5-29 09:41:59 | 显示全部楼层 来自: 中国上海
xiao080686 发表于 2013-5-1 08:41 static/image/common/back.gif
( f5 k8 Q/ C& h楼主,有没视频教程什么的,你这么说一大堆文字很难理解,有实例也行。

" f  `; W* a% k可以参与实威在线研讨会,了解更多SolidWorks Simulation技巧。关注实威官方微博:上海研威贸易。
发表于 2013-6-6 22:15:32 | 显示全部楼层 来自: 中国陕西西安
确实不错,谢谢分享
发表于 2013-6-7 09:42:55 | 显示全部楼层 来自: 日本
搂主发文的PDF版。
- F- D6 V: p0 G1 N修正去掉广告,无聊回帖,被拷贝增加麻烦的乱码等。
& |* |. x( ?# j; S' F7 i; t8 v3 |喜欢下载保存的随意。。。。6 E% `+ b9 Q# c, L4 |# v+ ~
2次发布随意。。。。。- D  Y& r7 B; ]1 U% c2 B" _
SolidWorks Simulation 分析技巧与诀窍——模型简化.pdf (2.47 MB, 下载次数: 85)
发表于 2013-6-7 17:35:55 | 显示全部楼层 来自: 中国浙江杭州
楼主太厉害了,我看不懂,但还是下载了
发表于 2013-6-11 09:30:36 | 显示全部楼层 来自: 中国陕西宝鸡
很抽象,理论的东西。不知如何应用,不好理解。
发表于 2013-6-13 16:29:37 | 显示全部楼层 来自: 中国山东莱芜
好贴,不过有视频类更好了
发表回复
您需要登录后才可以回帖 登录 | 注册

本版积分规则


Licensed Copyright © 2016-2020 http://www.3dportal.cn/ All Rights Reserved 京 ICP备13008828号

小黑屋|手机版|Archiver|三维网 ( 京ICP备2023026364号-1 )

快速回复 返回顶部 返回列表