QQ登录

只需一步,快速开始

登录 | 注册 | 找回密码

三维网

 找回密码
 注册

QQ登录

只需一步,快速开始

展开

通知     

查看: 1420|回复: 3
收起左侧

[求助] 节流孔经计算的疑问

[复制链接]
发表于 2013-4-28 10:11:13 | 显示全部楼层 |阅读模式 来自: 中国山东滨州

马上注册,结识高手,享用更多资源,轻松玩转三维网社区。

您需要 登录 才可以下载或查看,没有帐号?注册

x
最近在自学节流孔的计算,看了不少咱论坛的帖子,学到了不少东西。先谢谢各位前辈!: \3 g& G4 W* D' N/ S; [* m
有个疑问想请教一下:在http://www.3dportal.cn/discuz/forum.php?mod=viewthread&tid=209103&highlight=%BD%DA%C1%F7%BF%D7 这个帖子中,
. j( K* i9 ?0 v+ s" Mabcxy前辈的指导中:“1)节流孔的形式以短管型为好,也就是节流孔长度L与孔直径D之比小于4,越小约好,但太小工艺上有困难。- w% y1 I  l: s3 }- I/ _/ @
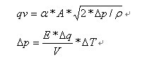
                                     2)参照两个公式进行计算。第一个公式不用多加介绍,就是最常用的小孔压力流量公式。第二个公式很多人不大了解,可以参考浙江大学出版社2006年9月出版的吴根茂等编著的“新编实用电液比例技术”第二章中,关于动态封闭容腔的计算公式。这个公式说明,例如从液压缸无杆腔经过液压缸出口管子到节流器之间这样一个动态封闭容腔(总容积为V)中,液压缸杆的运动是将油液输入这个封闭容腔(流量Q1),从节流阀流出的就算这个封闭容腔的流出流量Q2,由于有节流阀作为负载液压缸活塞运动就要产生压力P1。如果这个压力在运动过程中基本不变,则流进与流出封闭容腔的流量相等,即Q1=Q2。这样,就可以根据液压缸活塞直径、运动速度计算出流过节流孔的流量,加上预定的延时时间,就可用第一个公式,计算出节流孔的直径。”0 Z; t3 u* U* p
                           两个公式见图片,不太理解“就可以根据液压缸活塞直径、运动速度计算出流过节流孔的流量,加上预定的延时时间,就可用第一个公式,计算出节流孔的直径”当知道流过节流孔的流量可以计算出节流孔面积和其前后压差的关系,但是预定的延迟时间怎么进入计算?两个公式怎么联系起来的,如果按照“如果这个压力在运动过程中基本不变,则流进与流出封闭容腔的流量相等,即Q1=Q2”则动态封闭容腔的计算中流量差就是0,乘除计算的话预定时间不能进入计算啊。
+ l- G8 ^& h: d请各位前辈指点!
7 C, R6 p) H$ E; k. y2 W
1.jpg

评分

参与人数 1三维币 +2 收起 理由
洪哥 + 2 鼓励内容完整求助帖

查看全部评分

发表于 2013-4-28 10:25:28 | 显示全部楼层 来自: 中国江苏南通
支持
& e' U7 x7 r# ]' r
: U, Q2 T3 z+ R2 |等高人
发表于 2013-4-28 19:26:40 | 显示全部楼层 来自: 中国江苏泰州
其实 这个死抱理论没有意思 你注意压力和流量的关系 试问:如果你要延长开启或者关闭的时间 你选择节流孔的时候,你根据这个公式计算下 都是很难对应的 这个是个经验的过程 节流孔的长度和大小,取决于你选用材料的物理性能
3 f7 ^0 s0 ]. @& [0 g) b当然 这是我个人看法 你可以参考下
" q1 O! J4 D/ I. x5 b4 _你主要是把握住流量和压力的关系 确定了流量 就能计算大约得时间

评分

参与人数 1三维币 +2 收起 理由
9619 + 2 技术讨论

查看全部评分

 楼主| 发表于 2013-4-29 10:07:04 | 显示全部楼层 来自: 中国山东滨州
谢谢楼上前辈,您能否给举个例子讲解一下?谢谢
发表回复
您需要登录后才可以回帖 登录 | 注册

本版积分规则


Licensed Copyright © 2016-2020 http://www.3dportal.cn/ All Rights Reserved 京 ICP备13008828号

小黑屋|手机版|Archiver|三维网 ( 京ICP备2023026364号-1 )

快速回复 返回顶部 返回列表