QQ登录

只需一步,快速开始

登录 | 注册 | 找回密码

三维网

 找回密码
 注册

QQ登录

只需一步,快速开始

展开

通知     

查看: 4491|回复: 22
收起左侧

[求助] 车轮轴的剪切应力怎么计算

[复制链接]
发表于 2013-11-17 18:03:31 | 显示全部楼层 |阅读模式 来自: 中国天津

马上注册,结识高手,享用更多资源,轻松玩转三维网社区。

您需要 登录 才可以下载或查看,没有帐号?注册

x
本帖最后由 温特米勒 于 2013-11-17 20:05 编辑 # ^, o2 ?: h* S! V4 u
- |. ?: C0 V) j6 Y  H8 Z9 e0 F
如题,车轮轴的剪切应力怎么计算?还有就是弯矩产生剪切应力吗?tao用哪个公式?
2 R/ ~' G* g8 P. _8 y5 K5 P
发表于 2013-11-17 20:12:46 | 显示全部楼层 来自: 中国湖北黄冈
本帖最后由 tangcarlos3d 于 2013-11-18 06:51 编辑 6 P* s5 l2 N6 c& w' m+ Q
2 @6 c$ Z  z+ W
剪切力除以受剪面积不是剪切应力吗?也就是车轴要计算剪力截面所受横向力总和除以该截面的横截面积。
. e4 F; D' i1 t! O$ z: c2 v$ E& t这都是基础知识!3 V" H( m& q% y8 S0 j$ F
具体截面上所受的横向力大小要由轴的力距平衡方程计算得到。
 楼主| 发表于 2013-11-17 22:16:09 | 显示全部楼层 来自: 中国天津
tangcarlos3d 发表于 2013-11-17 20:12 static/image/common/back.gif
$ t- x% }. r$ G% p1 e- Z* Q4 e剪切力除以受剪面积不是剪切应力吗?也就是车轴所受横向力总和的一半除以轴承安装处的横截面积。
- E% v  d( y; s( R这都是基 ...

/ I4 B$ B5 n4 n# y) P) Q' @什么是横向力?弯矩产生剪切力吗?
发表于 2013-11-17 22:42:15 | 显示全部楼层 来自: 中国湖北黄冈
本帖最后由 tangcarlos3d 于 2013-11-18 08:19 编辑
8 y$ d8 I) S- _
温特米勒 发表于 2013-11-17 22:16 http://www.3dportal.cn/discuz/static/image/common/back.gif
7 B1 [+ Q9 C% G. f1 F5 o/ X什么是横向力?弯矩产生剪切力吗?
5 e5 b9 u9 m; N4 T, v' J! t

( H% B$ S/ |' ?: P! U弯矩产生拉、压应力。横向力就是产生弯矩的力在在垂直于轴线的横截面方向的投影的大小(与轴上支撑、力的作用点位置有关)。
 楼主| 发表于 2013-11-17 23:06:27 | 显示全部楼层 来自: 中国天津
本帖最后由 温特米勒 于 2013-11-17 23:16 编辑
4 y; I' d8 Z/ \
tangcarlos3d 发表于 2013-11-17 22:42 static/image/common/back.gif, O+ i0 l7 q, e/ [% i
弯矩产生拉、压应力。横向力就是产生弯矩的力在在垂直于轴线的横截面方向的投影的大小。

4 I3 @/ W8 H- C/ r7 H$ H我可以理解是径向力吗?你的意思是不产生剪切应力对吗?
发表于 2013-11-18 08:32:03 | 显示全部楼层 来自: 中国湖北黄冈
温特米勒 发表于 2013-11-17 23:06 static/image/common/back.gif
7 {0 _$ e6 a9 c7 e1 p我可以理解是径向力吗?你的意思是不产生剪切应力对吗?
' D+ C" f  X! a  O2 j; c( u
横向力产生剪应力。1 f' u- {) o/ S* P0 z( `
部分轴系受力、力矩分析可参照下列附图:
梁的受力及变形计算公式1.jpg
梁的受力及变形计算公式2.jpg
梁的受力及变形计算公式3.jpg
梁的受力及变形计算公式4.jpg
梁的受力及变形计算公式5.jpg

梁的受力及变形计算公式.pdf

2.66 MB, 下载次数: 8

发表于 2013-11-18 09:12:46 | 显示全部楼层 来自: 中国山西太原
温特米勒 发表于 2013-11-17 23:06 static/image/common/back.gif
8 t( q' F9 F, Q+ H6 a& d我可以理解是径向力吗?你的意思是不产生剪切应力对吗?
  S- M# g$ T; E+ G; L* h# ]
径向力可以产生弯应力(一边是拉应力,另一边是压应力),也可产生剪应力。作用在杆件上的力都可分解为径向力和轴向力。: W& s( C' D! m6 z% x
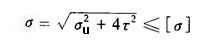
车轮轴是受弯应力和剪应力复合作用,分别求出弯应力σu和剪应力τ后再求复合应力σ8 G7 s5 i. @3 R, X8 i9 a3 B9 @
σu=M/W   (M为弯矩,W为抗弯截面系数)       τ=P/A  (P为剪力,A受剪截面积)
5 {0 s. A  o7 j8 y6 r( zσ=(σ^2+4τ^2)^0.5
发表于 2013-11-18 11:12:17 | 显示全部楼层 来自: 中国湖北荆门
建议楼主有时间翻翻理论力学和材料力学  教材+ v4 a. A9 [8 O6 c# C
基础知识都在里面
 楼主| 发表于 2013-11-18 22:13:31 | 显示全部楼层 来自: 中国天津
本帖最后由 温特米勒 于 2013-11-18 22:19 编辑 , c( h: V; z4 W; r8 N
tangcarlos3d 发表于 2013-11-18 08:32 static/image/common/back.gif
4 m" y4 ]9 j0 G6 V+ C; w* u0 W横向力产生剪应力。
+ J4 ~7 H. Q- G$ F( k部分轴系受力、力矩分析可参照下列附图:
! c3 m  \! i  X8 ~) e% P6 D
这位仁兄能分析一下车轮轴轴承处的受力吗,对于天高云淡的分析不知道你是否认同?谢谢,让你费心了!
 楼主| 发表于 2013-11-18 22:16:48 | 显示全部楼层 来自: 中国天津
本帖最后由 温特米勒 于 2013-11-18 22:18 编辑
2 a; ~, t( _9 p' J( e% z9 f
gaoyns 发表于 2013-11-18 09:12 static/image/common/back.gif
4 K/ e/ c' I3 y! j7 ]: a3 \) q径向力可以产生弯应力(一边是拉应力,另一边是压应力),也可产生剪应力。作用在杆件上的力都可分解为径 ...
' T6 \9 r* }% F  Q% s6 U( y6 ]; k
似乎觉得你说的对,不过40Cr在哪查抗弯截面系数?还有下面的合力公式没看懂。谢谢了
发表于 2013-11-18 22:40:59 | 显示全部楼层 来自: 中国湖北黄冈
温特米勒 发表于 2013-11-18 22:13 static/image/common/back.gif4 W$ [& S) z! }5 x- b2 Q! \/ F* O
这位仁兄能分析一下车轮轴轴承处的受力吗,对于天高云淡的分析不知道你是否认同?谢谢,让你费心了!

. r, ^+ G2 d4 @) v) |) V/ d2 w1. 首先你的主题是剪应力tao的计算问题,所以我主要回答径向力的问题及计算方法、包括公式来历,并没有说弯曲应力。所以我所说的内容不包括高先生的内容。至于弯矩图等是书上的,计算剪应力可以不必管它。只需要考虑轴上个关键截面上力的计算,进而得出剪应力即可。
$ O7 |; t2 [/ c2 A7 ?& P3 M4 a/ [2. 高先生说的是对的。他回答的问题是轴上所受的综合应力问题,范围广多了。
; h2 ^1 u- n  J3. 拉、压应力与剪应力的合力的计算公式可以查材料力学知识。
 楼主| 发表于 2013-11-18 22:51:57 | 显示全部楼层 来自: 中国天津
tangcarlos3d 发表于 2013-11-18 22:40 static/image/common/back.gif
  h5 ]1 _% v9 w. ~  q& h1. 首先你的主题是剪应力tao的计算问题,所以我主要回答径向力的问题及计算方法、包括公式来历,并没有说 ...
' S+ U! I( p" ^& v8 T
对,不要误会,没别的意思,因为不同书上有不同的tao的计算公式,不知道哪个是对的。我也主要是用来计算车轮轴的剪切应力。谢谢我的好几个问题都是你回答的,呵呵
发表于 2013-11-19 07:00:29 | 显示全部楼层 来自: 中国湖北黄冈
温特米勒 发表于 2013-11-18 22:51 static/image/common/back.gif
0 W0 i; V( `5 d" ?, G3 i对,不要误会,没别的意思,因为不同书上有不同的tao的计算公式,不知道哪个是对的。我也主要是用来计算车 ...
0 u2 ]% @0 i$ P% l- G
计算剪应力是对的,但从完整性来说是不够的。除非轴特别短和粗。一般还要计算弯曲应力,如果两种力都较大,还是要用高先生的公式计算合成应力,在来校核强度。
发表于 2013-11-19 07:49:54 | 显示全部楼层 来自: 中国山西太原
本帖最后由 gaoyns 于 2013-11-19 08:51 编辑
. N3 a2 M( o, R7 Q6 M( }' Q0 E7 d
温特米勒 发表于 2013-11-18 22:16 http://www.3dportal.cn/discuz/static/image/common/back.gif6 G7 ]" P% u/ _( \1 B/ u
似乎觉得你说的对,不过40Cr在哪查抗弯截面系数?还有下面的合力公式没看懂。谢谢了

3 o7 T3 V+ w. |3 p4 E% i2 Z3 Q/ P+ y# I. K2 r1 e
抗弯截靣系数与材料无关,只与截靣形状有关。车轴一般是圆形截面,查圆形截靣的抗弯截靣系数就行了。/ o; _1 L: h! c) x3 z. d
关于弯剪复合应力的计算公式,上面那个是为了输入方便都用指数形式表示了,看下面的式子会更明白:
弯剪复合应力公式.jpg
发表于 2013-11-19 08:29:22 | 显示全部楼层 来自: 中国湖北黄冈
温特米勒 发表于 2013-11-18 22:16 static/image/common/back.gif
9 R& ?" t. c4 Q似乎觉得你说的对,不过40Cr在哪查抗弯截面系数?还有下面的合力公式没看懂。谢谢了
+ |& @* r! ~' m3 P4 w7 `8 E
常用截面的几何与力学性质至于截面的形状有关,也就是说材料在截面上的分布位置有关,与材料种类无关。抗拉强度与材料种类有关。
常用截面的几何与力学性质1.jpg
常用截面的几何与力学性质2.jpg
常用截面的几何与力学性质3.jpg
常用截面的几何与力学性质4.jpg
 楼主| 发表于 2013-11-20 14:55:26 | 显示全部楼层 来自: 中国天津
gaoyns 发表于 2013-11-19 07:49 static/image/common/back.gif
0 U, T! t7 g' B  [2 m) Z/ c抗弯截靣系数与材料无关,只与截靣形状有关。车轴一般是圆形截面,查圆形截靣的抗弯截靣系数就行了。, _7 v& I8 M* R& r
...

# W) X& _8 o; p; O( N% V# t$ B高兄,计算出这个合力应该和谁比较呢
发表于 2013-11-20 15:44:48 | 显示全部楼层 来自: 中国山西太原
温特米勒 发表于 2013-11-20 14:55 static/image/common/back.gif
4 j$ f- s$ w$ i& O6 X高兄,计算出这个合力应该和谁比较呢
- a0 o9 c& p1 b8 |
计算出的是弯剪复合应力σ,与许用应力[σ]比较,σ≤[σ] 即为合乎要求。见14楼后面那个公式。
 楼主| 发表于 2013-11-20 21:57:14 | 显示全部楼层 来自: 中国天津
gaoyns 发表于 2013-11-20 15:44 static/image/common/back.gif
0 R1 _+ {) A/ X' q& a! H) c计算出的是弯剪复合应力σ,与许用应力[σ]比较,σ≤[σ] 即为合乎要求。见14楼后面那个公式。

9 ^2 T- Z4 ^  I0 b- r$ z9 b我的意思是这个许用应力设计手册里 没有啊?
发表于 2013-11-20 22:23:17 | 显示全部楼层 来自: 中国湖北黄冈
温特米勒 发表于 2013-11-20 21:57 static/image/common/back.gif
! Q. Y( ?- x9 @9 V/ A我的意思是这个许用应力设计手册里 没有啊?

% d$ _! L- V# b2 U# V0 f1 i许用应力等于材料的抗拉极限除以安全系数。安全系数的选择与工作载荷性质、设备种类等因素有关,具体查相应机器的设计手册。
发表于 2013-11-21 11:00:44 | 显示全部楼层 来自: 中国山西太原
温特米勒 发表于 2013-11-20 21:57 static/image/common/back.gif; u6 c* \5 i( G/ f6 n8 c4 {$ o
我的意思是这个许用应力设计手册里 没有啊?
( p6 Z8 c9 g7 e) j$ v! z( C
在你的另一个帖子中,我已经给你发了个常用材料的许用应力表了:- T7 Z( V8 @/ r# L: O9 C; i4 I
http://www.3dportal.cn/discuz/fo ... &fromuid=326583
发表于 2014-8-24 10:27:06 | 显示全部楼层 来自: 中国北京
gaoyns 发表于 2013-11-18 09:12 static/image/common/back.gif  ~& H; w0 |# ^
径向力可以产生弯应力(一边是拉应力,另一边是压应力),也可产生剪应力。作用在杆件上的力都可分解为径 ...
2 Y+ c+ D' T$ U$ W- ^* G
请问最后一个公式有出处吗?我学习一下
发表于 2014-8-24 16:45:33 | 显示全部楼层 来自: 中国山西太原
506097002 发表于 2014-8-24 10:27 static/image/common/back.gif+ p7 P; K$ L. R# y# f# ]! x
请问最后一个公式有出处吗?我学习一下
5 T! m& k8 z- V6 P
材料力学 中都有,例如如下的材料力学中P109和P144都有。
' k3 {6 `1 B- X7 ^6 o% x/ `, K8 g" [
材料力学 黄小清》PDF
发表于 2014-9-9 11:36:16 | 显示全部楼层 来自: 中国北京
gaoyns 发表于 2014-8-24 16:45 static/image/common/back.gif
: `) P. `7 E* t材料力学 中都有,例如如下的材料力学中P109和P144都有。
( i7 y2 ?/ b+ ~& i4 @6 ?3 P( i1 Q. u8 H- j- j4 S3 Y
《材料力学 黄小清》PDF
4 M) g- A) v9 ~; `5 Q
你好,看了你推荐黄小清版的材料力学受益匪浅,这个版本比我们的课本容易学习.请问,能推荐几本机械方面的书记吗?最好把那个版本的说一下,谢谢了
发表回复
您需要登录后才可以回帖 登录 | 注册

本版积分规则


Licensed Copyright © 2016-2020 http://www.3dportal.cn/ All Rights Reserved 京 ICP备13008828号

小黑屋|手机版|Archiver|三维网 ( 京ICP备2023026364号-1 )

快速回复 返回顶部 返回列表