QQ登录

只需一步,快速开始

登录 | 注册 | 找回密码

三维网

 找回密码
 注册

QQ登录

只需一步,快速开始

展开

通知     

查看: 2205|回复: 8
收起左侧

[求助] 卡门曲线如何绘制?

[复制链接]
发表于 2014-7-16 11:25:34 | 显示全部楼层 |阅读模式 来自: 中国北京

马上注册,结识高手,享用更多资源,轻松玩转三维网社区。

您需要 登录 才可以下载或查看,没有帐号?注册

x
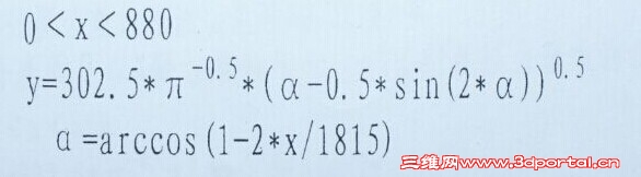
卡门方程
$ S. F0 j" A" b* u* f* Q. X" E QQ图片20140716112446.jpg , g* m1 X, N$ Z& Y3 Y
  L) \% A# q7 a9 T& b# S: l# G
请教用solidworks或者cad
6 c( l8 a- d0 O# L# H' B9 N如何绘制
+ e; U$ p* e  S7 w
2 _! w% {1 M; e谢谢。
发表于 2014-7-16 14:22:55 | 显示全部楼层 来自: 中国广东佛山
坐等高手吧  这方程式我看的都头大
发表于 2014-7-16 14:32:43 | 显示全部楼层 来自: 中国浙江嘉兴
本帖最后由 ryouss 于 2014-7-16 14:34 编辑 - }5 I5 X4 o3 `2 f2 X

# ^$ Z7 X) U" b6 @. W, ~# D4 ?  w導入Excel 解& g' M' }6 b3 g- B
x= 1~876 隔5計算
2 ~2 o4 V) I, I5 h$ A8 J  s0 B4 X2 y: k4 T5 n6 I0 z
capture_07162014_143018.png
发表于 2014-7-16 19:35:51 | 显示全部楼层 来自: 中国浙江嘉兴
另直接轉sw的方程式
! r2 u! m6 B6 c5 T6 F因X =0,X=880 可計算就不處理了
" ^& Y3 j0 o0 Y7 q, Y' V1 b+ \: o* O8 Z! n
c-1.jpg
# U9 L8 L' u1 f
发表于 2014-7-17 09:36:27 | 显示全部楼层 来自: 中国北京
ryouss 发表于 2014-7-16 19:35 static/image/common/back.gif
- J( w' k1 ]8 i0 a- I; |另直接轉sw的方程式
1 _; I$ h( i4 w# f/ E因X =0,X=880 可計算就不處理了

& p$ `8 W# \- Y- t- M8 J# {看着看着就哭了,我用SW这么多年,连这个画曲线的方法都不会
 楼主| 发表于 2014-7-17 16:19:29 | 显示全部楼层 来自: 中国北京
谢谢,非常感谢,藏龙卧虎之地
发表于 2014-8-9 14:19:05 | 显示全部楼层 来自: 中国浙江温州
我的脑袋被门夹了,变曲线了
发表于 2014-8-9 18:36:22 | 显示全部楼层 来自: 中国四川绵阳
请教3D曲线,那个方程式输入,在哪儿点开?
发表于 2014-8-9 19:16:31 | 显示全部楼层 来自: 中国浙江嘉兴
eastking1111 发表于 2014-8-9 18:36 static/image/common/back.gif& E; c' d3 w2 w6 A
请教3D曲线,那个方程式输入,在哪儿点开?
( I6 ]; [4 U/ c, O# n' j
http://www.3dportal.cn/discuz/fo ... ead&tid=1189728
! X5 E2 Y. H6 }9 _( i7 _. H; y如上參看7#8 [3 I3 n2 T0 `# }
发表回复
您需要登录后才可以回帖 登录 | 注册

本版积分规则


Licensed Copyright © 2016-2020 http://www.3dportal.cn/ All Rights Reserved 京 ICP备13008828号

小黑屋|手机版|Archiver|三维网 ( 京ICP备2023026364号-1 )

快速回复 返回顶部 返回列表