QQ登录

只需一步,快速开始

登录 | 注册 | 找回密码

三维网

 找回密码
 注册

QQ登录

只需一步,快速开始

展开

通知     

查看: 5723|回复: 26
收起左侧

[讨论] 一道练习题:平行四边形内作一点,17楼已更新

[复制链接]
发表于 2015-3-18 01:10:44 | 显示全部楼层 |阅读模式 来自: 中国北京

马上注册,结识高手,享用更多资源,轻松玩转三维网社区。

您需要 登录 才可以下载或查看,没有帐号?注册

x
本帖最后由 woaishuijia 于 2015-3-23 03:58 编辑 - r/ }6 G  {7 `

0 z* T7 t8 d6 Z不知是否有尺规解法?
& _! u5 \; \- G: f: E
2 _9 x) c/ o8 B) b# ?4 P 0318.png 3 c$ {3 d$ U2 R  L  \# O
/ g: I1 ?& g1 N+ V/ m+ y, I3 c3 a
. v. [; ~; {* [; a3 o2 Y$ W; ^

6 Z) w  w, i9 W' I

评分

参与人数 1三维币 +10 收起 理由
2005llnn + 10 发起技术讨论

查看全部评分

发表于 2015-3-18 14:09:49 | 显示全部楼层 来自: 中国北京
本帖最后由 gongwen0519 于 2015-3-20 13:02 编辑
, C" R0 d, |5 f& c" {0 {
6 X; g+ V5 d% z7 {还不确定是否有几何解:3 o1 a1 k" y1 A1 {* r# r

/ }' d1 Z  O8 q( R/ s( Y' q t01.png 7 x1 {+ C5 c% V* b2 y
. z" N/ v- o- K) Y" K9 l
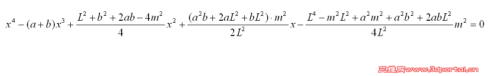
如图之表达式解为一个一元四次方程:
4 }' i" U: Z1 ^* e' _ t02.png
5 B3 W& h; ^) H* `/ a代入实际数值后的解(两解):
5 T$ o/ N, W$ O- H" T
% ^, G4 a+ e* k! k( n. F3 p; `1 G, F/ K. u" [$ `" ^6 q( K4 \" x, g
t03.png
5 ^  t& O6 R1 {7 [# U. C' Z& l4 `5 T" g' F) ?: r! A4 a$ y1 Z0 C
代入实际数值后的解(三解):- b$ y; \8 ?; K' ~2 X& L3 \
保留小数点后30位的结果7 b! R8 x) t4 v" I
x1=38.985534244575677111867597514724...; U8 z1 M# h  U' A
x2=62.902065065595016213542181604494...
3 ^' ^0 P4 ~9 n7 ^- ~' ex3=98.993886637656592827324489123149...
8 f  ~! h0 j3 z2 I2 h2 Mx4=-78.011199957827286152734268242367...(舍弃)
& u9 B. k. s% J5 y  v5 g( `  F: }
# J0 @  `) ~: R; Q1 A' @. ~4 b
7 i3 ^5 [1 f1 @! x) r
: K  w% b' R5 }# k
( r' t8 G1 `) O! e6 V5 s0 v

评分

参与人数 1三维币 +5 收起 理由
2005llnn + 5 技术讨论

查看全部评分

发表于 2015-3-18 14:17:15 | 显示全部楼层 来自: 中国北京
ACAD:- H* K1 _2 Z& f/ }0 x
: ~  J& n, R9 e) `
t04.png

评分

参与人数 1三维币 +5 收起 理由
2005llnn + 5 技术讨论

查看全部评分

发表于 2015-3-18 15:32:56 | 显示全部楼层 来自: 中国辽宁抚顺
本帖最后由 woaishuijia 于 2015-3-18 20:30 编辑
( }. D4 w1 x  B( H- i1 ^3 v
gongwen0519 发表于 2015-3-18 14:09 http://www.3dportal.cn/discuz/static/image/common/back.gif
+ w( J: n1 ]- b" j% J! ^! j$ o还不确定是否有几何解:

4 V# t' k% R! Y
  I; S2 V. t* y' l可以直接列出一元二次方程的,所以肯定有几何画法& H, N: Y: [7 {( Z

. j! d7 f' E! t1 A0 x% u1 K3 G错了,是二元二次
2 M! ]% ~& A. S5 z可以整理成两个椭圆相交
 楼主| 发表于 2015-3-18 15:59:51 | 显示全部楼层 来自: 中国广西南宁
gongwen0519 发表于 2015-3-18 14:09 static/image/common/back.gif
' t. p( |8 ?/ @% w还不确定是否有几何解:
! ]- m3 K8 g* l1 I8 S
大神。您这个太深奥了!
发表于 2015-3-18 21:17:03 | 显示全部楼层 来自: 中国北京
woaishuijia 发表于 2015-3-18 15:32 static/image/common/back.gif: v5 f1 z2 E9 G! H' R
可以直接列出一元二次方程的,所以肯定有几何画法/ N5 \: g3 R! N, M( R: s9 ^! |0 E
. ~3 X, w6 o0 ^
错了,是二元二次

- q' M- A" q4 G* H" L; @, g呵呵,分别用余弦定理和托勒密定理都试过了,似乎就是个四次方程,将图形转化成下图右边那个共圆四边形,似乎理论上可解(四边形具备5个条件即可解):( m( n& K8 o) _! P  l

! ^2 ~. r# U8 c7 X+ ?! W/ C kejie.png
  g# s) J7 [, ?' O4 s7 z( m& @: t+ K* x" S; G) q
$ O0 ~: E( l4 g4 |

# f# A7 s9 ~  d2 l% L7 w

评分

参与人数 1三维币 +5 收起 理由
2005llnn + 5 技术讨论

查看全部评分

发表于 2015-3-18 21:40:41 | 显示全部楼层 来自: 中国北京
问题探究:
. s6 w$ T  z8 P3 }/ T2 e' G' o, |
1 i) ]1 i) @/ N, H! P yanjiu.png
, j6 m+ E1 D, M) x! i% c2 M8 O

评分

参与人数 1三维币 +5 收起 理由
2005llnn + 5 技术讨论

查看全部评分

发表于 2015-3-19 06:22:15 | 显示全部楼层 来自: 中国辽宁营口
本帖最后由 woaishuijia 于 2015-3-19 08:03 编辑
6 _! f/ s+ a2 v" p4 q0 [  K! n0 u
gongwen0519 发表于 2015-3-18 21:17 http://www.3dportal.cn/discuz/static/image/common/back.gif
) ^+ u7 b6 F! a8 Z8 h呵呵,分别用余弦定理和托勒密定理都试过了,似乎就是个四次方程,将图形转化成下图右边那个共圆四边形, ...
, O) T7 m+ I8 g6 A& e

; K2 B7 y6 X7 n( a7 S' u你的四次方程应该是化简的结果吧?既然能列出一元四次,就应该能列出二元二次。& S1 A) L# |$ V% X2 j
二元二次实质就是两条圆锥曲线相交,且最终可以变换为两个椭圆(或圆、直线)相交,这对画图是有指导意义的。
 楼主| 发表于 2015-3-19 10:33:43 | 显示全部楼层 来自: 中国广西南宁
感谢0519和W版两位大神的。这道题是我在别处看到的,据说是根据奥林匹克竞赛题改的。然后他们在讨论时的思路是,要满足题意,那必定a=a1,b=b1,作出这条轨迹即可解。$ I; |. |( ?9 ~7 ^" `% E# G
0319.png

评分

参与人数 1三维币 +5 收起 理由
2005llnn + 5 技术讨论

查看全部评分

发表于 2015-3-19 10:46:22 | 显示全部楼层 来自: 中国辽宁抚顺
chenmik 发表于 2015-3-19 10:33 static/image/common/back.gif, h4 B3 N+ D% T. P. s8 y1 o/ S
感谢0519和W版两位大神的。这道题是我在别处看到的,据说是根据奥林匹克竞赛题改的。然后他们在讨论时的思路 ...

; a9 [' @, R6 l6 o思路是正确的,但离终点还远着呢,呵呵0 y7 W  @  \" c! a2 S
Untitled-1.gif

评分

参与人数 1三维币 +10 收起 理由
2005llnn + 10 技术讨论

查看全部评分

发表于 2015-3-19 15:58:58 | 显示全部楼层 来自: 中国安徽芜湖
本帖最后由 qwerabcd 于 2015-3-19 16:02 编辑 $ F1 P2 u  X5 |3 l% v! p4 e: v
6 J# \8 i/ i9 b' M/ [
这题不好做。
捕获.JPG
捕获1.JPG
捕获3.JPG

评分

参与人数 1三维币 +5 收起 理由
2005llnn + 5 技术讨论

查看全部评分

 楼主| 发表于 2015-3-19 16:06:13 | 显示全部楼层 来自: 中国广西南宁
qwerabcd 发表于 2015-3-19 15:58 static/image/common/back.gif% z7 q* k, T3 X7 P. s7 _
这题不好做。

, ]+ J2 J; w; B/ u: ^. w8 u大哥,是平行四边形啊
发表于 2015-3-19 16:23:55 | 显示全部楼层 来自: 中国安徽芜湖

: ]- H; T4 ]( ^: U  _经作图得知,该题应该无解。
6 q; {# \. z2 _& X+ i' P
# [6 E' S. }2 {# _( b2 g3 a 捕获.JPG
3 y# W; R; T9 x. E4 C% \$ k6 ^那几个条件相干涉。& Q9 T/ x$ s% C: U" N

( p7 G# {5 I' c3 `! o& G) s. @  e

评分

参与人数 1三维币 +5 收起 理由
2005llnn + 5 技术讨论

查看全部评分

发表于 2015-3-19 16:27:18 | 显示全部楼层 来自: 中国安徽芜湖
5 w; s2 }  f- f* o$ n; k1 ]
捕获.JPG 4 m# ?, h& {/ L* @% @  U& t6 v

评分

参与人数 1三维币 +5 收起 理由
2005llnn + 5 技术讨论

查看全部评分

发表于 2015-3-19 16:28:53 | 显示全部楼层 来自: 中国辽宁抚顺
本帖最后由 woaishuijia 于 2015-3-19 16:30 编辑 ; [  f+ f& w% }' @
qwerabcd 发表于 2015-3-19 16:23 http://www.3dportal.cn/discuz/static/image/common/back.gif
- U. d7 @1 ^3 H6 D经作图得知,该题应该无解。

) B. W8 E1 Q2 R) o* }7 y* y* J+ o
有解,而且有两个解,呵呵,3楼的结果摆在那里
发表于 2015-3-19 19:11:52 | 显示全部楼层 来自: 中国安徽芜湖
woaishuijia 发表于 2015-3-19 16:28 static/image/common/back.gif
2 ?) R$ P6 D* J3 H2 m6 l) s8 e有解,而且有两个解,呵呵,3楼的结果摆在那里

3 H9 w. P" _8 c( M: i
3 t3 G) x6 G  d. v% j& I很对。自己搞出来了。其实对过约束的理解错误。, I3 q! G+ H) n4 l4 {% t

5 {- l/ C) R6 W5 p3 ]有尺寸冲突,才是有解的。谢谢!/ B# d% t! K8 {- G2 N
捕获.JPG - Z; P" R1 r% V' {8 f  E
$ `7 E( C, {' r; c8 U
发表于 2015-3-20 01:58:49 | 显示全部楼层 来自: 中国辽宁营口
本帖最后由 woaishuijia 于 2015-3-23 03:55 编辑
1 f+ s: u7 a* K# h
woaishuijia 发表于 2015-3-19 16:28 http://www.3dportal.cn/discuz/static/image/common/back.gif0 |$ R' ~& B4 P" f7 H; l
有解,而且有两个解,呵呵,3楼的结果摆在那里
: ]5 X) F& \" x7 w& Z+ d5 ?
错了,有三个解6 ]/ @$ W+ z. s
. ?$ O. R& I8 u7 {, P  i% o
如图-1.gif 如图-2.gif 如图-3.gif 如图-4.gif 如图-5.gif 如图-6.gif

Drawing1.rar

79.11 KB, 下载次数: 27

如图.pdf

156.94 KB, 下载次数: 36

评分

参与人数 1三维币 +30 收起 理由
2005llnn + 30 技术分享

查看全部评分

发表于 2015-3-20 13:07:02 | 显示全部楼层 来自: 中国北京
woaishuijia 发表于 2015-3-20 01:58 static/image/common/back.gif
: b7 l  x( I* e0 k+ l8 U8 C; X错了,有三个解
4 z% ]& m" U; ^1 D( R* b% a
由此看来应当是无常规的几何解法了,版主的数学功底扎实呀。
% C+ e, L( G. }7 L; S1 i0 P8 K" j1 W1 X& o: b
楼上pdf文档是用Latex排版的吧。
发表于 2015-3-20 13:44:40 | 显示全部楼层 来自: 中国辽宁营口
gongwen0519 发表于 2015-3-20 13:07 static/image/common/back.gif
! A; T) V5 v" @; D3 d由此看来应当是无常规的几何解法了,版主的数学功底扎实呀。
3 K( d0 M- x1 @7 C2 A* z0 I) R/ l9 {5 I  V. |' G
楼上pdf文档是用Latex排版的吧。
) h' h* W: |: J: h4 G. A5 I
在二维也能画,用双曲线代数式和圆的代数式可以组合得到椭圆的代数式,从而画出椭圆和圆,其交点即为所求。只是计算过程很麻烦,还不如三维圆锥画法省事呢。本想今天花点功夫完成它,不料早上电脑崩溃了,正在重做系统。现在发帖也是用手机发的,呵呵。1 [2 H( y& o& |
PDF文档是用ADOBE ACROBAT10.0自带的虚拟打印机打印WORD文档生成的
 楼主| 发表于 2015-3-20 14:53:41 | 显示全部楼层 来自: 中国广西南宁
woaishuijia 发表于 2015-3-20 13:44 static/image/common/back.gif
- O" T. G$ H$ u+ |& r在二维也能画,用双曲线代数式和圆的代数式可以组合得到椭圆的代数式,从而画出椭圆和圆,其交点即为所求 ...
0 a1 o% ^( u; ^
感谢W版,期待圆锥画法
发表于 2015-3-20 16:42:36 | 显示全部楼层 来自: 中国辽宁
chenmik 发表于 2015-3-20 14:53 static/image/common/back.gif9 a3 E" ?$ D9 J: R( m: s! g% U
感谢W版,期待圆锥画法

: a8 A+ m3 J4 Y: f已经上传的就是圆锥画法。等电脑收拾好后,再抽时间做椭圆画法
发表于 2015-3-23 07:39:15 | 显示全部楼层 来自: 中国辽宁抚顺
17楼已更新,含椭圆画法
 楼主| 发表于 2015-3-23 13:09:22 | 显示全部楼层 来自: 中国广西南宁
woaishuijia 发表于 2015-3-23 07:39 static/image/common/back.gif
9 n1 R% N0 p5 `! {17楼已更新,含椭圆画法

7 z* A9 P) X1 {* Z% v谢谢W版,刚看到,已下载学习。
发表于 2015-3-23 19:52:06 | 显示全部楼层 来自: 中国北京
完全看不懂
发表于 2016-2-23 00:28:41 | 显示全部楼层 来自: 中国广东肇庆
本帖最后由 keilei001 于 2016-2-23 00:32 编辑
& g: R! E7 y" t% a$ O& ?
woaishuijia 发表于 2015-3-20 01:583 @0 j: U$ V& [: l! G! \
错了,有三个解
2 U( I% v8 C# _: V! W
版主数学了得,方程式也排得很漂亮,请教用什么软件编辑方程式的呢?
发表回复
您需要登录后才可以回帖 登录 | 注册

本版积分规则


Licensed Copyright © 2016-2020 http://www.3dportal.cn/ All Rights Reserved 京 ICP备13008828号

小黑屋|手机版|Archiver|三维网 ( 京ICP备2023026364号-1 )

快速回复 返回顶部 返回列表