|
|

楼主 |
发表于 2015-8-6 17:01:51
|
显示全部楼层
来自: 中国天津
本帖最后由 gongwen0519 于 2015-8-6 17:05 编辑 / @! e: y8 S4 K5 ]
oxm44 发表于 2015-8-6 12:41
T5 X# w1 Z! Z! d: l还是想说几句。
/ U, p9 z6 B& \; U8 H4 T1、出题就出题,说那么多令人不爽的话就大可不必了。特别是把用约束、驱动作图者说成是“ ... , C X6 _$ D/ x2 a
参与就参与,楼主欢迎。但不要忙于诘责,也不要过于武断地就这么下了结论,解决了问题大家都爽。6 V) Y, y' s; `( |% W _7 V+ T2 z
: o, H2 I& U% D& P; VAD最短为0是没有意义的,但必须说明的是:AD最短是存在的,也是可以用纯尺规作图作出来的。有必要的话,楼主可以出个超简提示。
) ]9 D z9 M4 ~- r5 y0 g! r' X, T+ x3 C z, `! ?( y
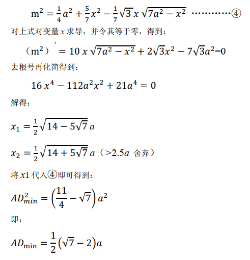
除0值外,有谁能作出比下图这个值还小的数值来本帖就没有意义。
+ `* r' s; F7 X% {AD=32.287565553229529525080787681963..../ [, q: |, @* U8 y; ^4 e
" i$ l% q0 n5 }- K/ H- _1 q9 E$ v" K% R/ C0 X3 O3 z
; f, C+ c* A! o) ~& |2 Q
2 L% q. e9 e, } O" T |
评分
-
查看全部评分
|