QQ登录

只需一步,快速开始

登录 | 注册 | 找回密码

三维网

 找回密码
 注册

QQ登录

只需一步,快速开始

展开

通知     

查看: 4317|回复: 17
收起左侧

[已解决] 快疯了,这几个式子怎么算的??????

[复制链接]
发表于 2016-8-26 16:02:20 | 显示全部楼层 |阅读模式 来自: 中国广东广州
画图
主题分类用于问题归类:

马上注册,结识高手,享用更多资源,轻松玩转三维网社区。

您需要 登录 才可以下载或查看,没有帐号?注册

x
a*(a+b)=n^2。。。。。。。。。。。。a*b/c^2=n^2/m^2。。。。。。。。。。+ t0 ~+ X+ J$ N' e3 i1 p- c; P) f9 I
|a-b|=2c*|COS(β)|。。。。。。。。。
# T. D+ r& t. K已知n、m、β是已知的,求a?。。。。。
: K- y# R; W4 A& e( b3 D1 w* X6 x7 Y$ Y* x2 K6 a$ j
* E& f; Q5 `2 j- ?* G
! I3 H. z- J! \* w) {

评分

参与人数 1三维币 +5 收起 理由
2005llnn + 5 鼓励有意义的求助或讨论的主题。

查看全部评分

发表于 2016-8-27 08:44:48 | 显示全部楼层 来自: 中国山东
发表于 2016-8-28 17:54:17 | 显示全部楼层 来自: 中国贵州黔南布依族苗族自治州
供参考:1 G- \# I0 r9 N7 s2 M- I
2016-08-27.png / I; i" K: V4 R% |. L# C2 [# T. ~

评分

参与人数 1三维币 +3 收起 理由
华氏911 + 3 技术讨论!

查看全部评分

 楼主| 发表于 2016-8-28 21:19:54 | 显示全部楼层 来自: 中国广东惠州
本帖最后由 明天你好吗 于 2016-8-28 21:22 编辑 ; a* D. P! u) F  X, ^
gongwen0519 发表于 2016-8-28 17:54
. G3 q# r" c5 d2 N% r供参考:
. s, k0 Z3 w& s) r
大神,具体怎么算的,我算了好多遍还是这种结果,望指出错误。谢谢。! t$ L9 V8 I$ E; r, f( u- Q% a
10.png
! G( t, j+ G4 q. P: c8 M9 Q2 Q6 }

+ F6 M+ Z3 l( n# }# s( ]$ t% X: o

评分

参与人数 1三维币 +5 收起 理由
华氏911 + 5 技术讨论!

查看全部评分

发表于 2016-8-30 15:21:15 | 显示全部楼层 来自: 中国黑龙江伊春
本帖最后由 woaishuijia 于 2016-8-30 15:52 编辑 % d" t' E! N# i: l- O) k
! b$ m  d! V& n5 ~- I
捕获.PNG

Doc3.zip

21.8 KB, 下载次数: 3

评分

参与人数 1三维币 +5 收起 理由
华氏911 + 5 技术讨论!

查看全部评分

 楼主| 发表于 2016-8-30 22:21:11 | 显示全部楼层 来自: 中国广东惠州
' ~6 S% U  G* Q, t
多谢版主,明白了
 楼主| 发表于 2016-8-30 22:42:46 | 显示全部楼层 来自: 中国广东惠州
: {' g' t4 q+ y' K9 i
此解是对应这个图的,版主能否根据解作出漂亮的图。。。。http://www.3dportal.cn/discuz/fo ... &extra=page%3D1  i1 w$ o/ H( ]1 H" ~* f- v
发表于 2016-8-31 11:10:29 | 显示全部楼层 来自: 中国黑龙江伊春
本帖最后由 woaishuijia 于 2016-8-31 11:57 编辑
9 @" |" Y, X! h2 q1 l- j
明天你好吗 发表于 2016-8-30 22:42
2 O3 _  M' |+ b2 D) r: v& h此解是对应这个图的,版主能否根据解作出漂亮的图。。。。http://www.3dportal.cn/discuz/forum.php?mod= ...

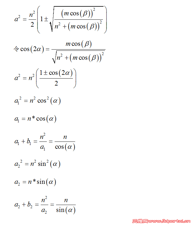
. T6 W+ X) _+ S, S2 R4 x对计算结果进一步整理,直接求解a+b; a2 j) W2 j. m0 S
捕获.PNG % C# ?8 ?' c/ u* |+ @
0 `. j2 P. _" O/ W2 o
画出椭圆和35度直线
9 U0 J+ K0 P, t. M. E 捕获1.PNG
, B, P3 J  J0 M4 p5 p6 J
+ @9 J, \* ?( Y等距偏移35度直线,画出35度直线的共轭弦,并依此画出35度直线的共轭轴$ Y/ C0 z6 y6 m3 F1 k% X
捕获2.PNG ! s3 [& J: w/ ~. a6 B; B

& t( O/ z2 N) }5 u0 R' l6 G5 u) p由白色共轭轴与椭圆交点引垂线,目的是得到垂足。) s: [2 n9 N+ Z9 \# B
垂足到椭圆中心的距离对应算式中的 m*cos(β)。* x& |; p. i9 H) O
再以椭圆中心为圆心,画过垂足的白色圆。
( W* U0 h) r; k% Z+ x 捕获3.PNG
! l$ U& h2 J! f+ F1 N  d/ t9 L( M; e1 _2 f- @% I8 C
过圆心做35度直线的垂线并与圆相交。+ w8 S) p3 }8 [# j
圆心到35度直线左下角点的距离对应已知条件 n ,圆半径对应算式中的 m*cos(β)。
5 L+ a- D' L  G. ?4 _$ _我没有画出以这两个长度为直角边的直角三角形的斜边,因为构成 2α 角的三个顶点已经得到了。
% c! x! {1 F7 @6 g4 b- ? 捕获4.PNG
2 J  a3 c" }& ^7 t5 G& q
2 d% b2 [8 I. ?" o做 2α 角的角平分线,得到 α 角,就是下图中的 31.69度。
6 ~, U% z$ _. \! r 捕获5.PNG 0 @6 G4 F. C$ M. G2 ^

) Q- }1 M! P* j4 @+ f- b- R+ R4 t把角平分线移到经过椭圆中心,并以椭圆中心为基点复制旋转90度。这是为了分别得到 sin(α) 和 cos(α)。, F0 F+ M3 A! |- i8 F
捕获6.PNG
7 E* V3 W! `* ~8 |
) m' f) e  S/ J过35度直线左下角点做其垂线,并分别与两构造线相交。
0 ^! \  Y3 L% S7 Q+ t1 s; f( a 捕获7.PNG
! A; `/ X/ z/ J5 j. z/ j8 R8 l  S& ~3 J5 L& D0 n. v4 @
分别以椭圆中心为圆心,椭圆中心到35度直线的垂线与两构造线的交点距离为半径画圆。
; M! ~5 @9 P2 E4 [, G9 O: T/ h黄圆半径对应计算结果 a1+b1 ,红圆半径对应 a2+b2。
) k! G7 _( [" v6 m" b. ?; u6 i 捕获8.PNG
6 {8 e1 m1 k  H6 B; {
) J# L3 u$ ]2 l, }. Q# |3 {+ Q分别由35度直线与两圆交点向椭圆引切线,验证结果。
3 I: [5 u6 a7 z, o) v; Q 捕获9.PNG   t4 W* s0 H2 t2 x
. n( a% E8 V2 W7 f/ T1 U9 B

评分

参与人数 1三维币 +10 收起 理由
2005llnn + 10 技术分享

查看全部评分

 楼主| 发表于 2016-8-31 18:01:05 | 显示全部楼层 来自: 中国广东惠州
woaishuijia 发表于 2016-8-31 11:10
9 p! I" @( R' R5 e  u) s对计算结果进一步整理,直接求解a+b

% k  e0 L! ?2 g& M. y( J$ @版主解的着实漂亮
 楼主| 发表于 2016-8-31 18:03:49 | 显示全部楼层 来自: 中国广东惠州
本帖最后由 明天你好吗 于 2016-8-31 18:08 编辑 ) a  L, @: a) i4 R3 |5 k
woaishuijia 发表于 2016-8-31 11:10: ?% |; E3 Z# ]9 B9 _: v5 _
对计算结果进一步整理,直接求解a+b

& t, F( j4 q. `# ~+ \0 d再看一下这题,也是解了好久。这题高次方程,好像解不出来??? 10.png
& Q5 J. `' w: m+ _% m7 }$ t

: V) n& Q8 k8 ~) O3 R# Y链接如下求助一道作图难题http://www.3dportal.cn/discuz/forum.php?mod=viewthread&tid=1475385&fromuid=18940984 l' r# G; h) E3 e, h
(出处: 三维网)- k/ I) l# n  b( H" Q. a

( S8 e; T% z" W$ ~0 Y( u1 |
 楼主| 发表于 2016-8-31 18:10:11 | 显示全部楼层 来自: 中国广东惠州
发表于 2016-9-2 08:45:26 | 显示全部楼层 来自: 中国黑龙江伊春
明天你好吗 发表于 2016-8-31 18:03
, _& c9 ]3 W/ R再看一下这题,也是解了好久。这题高次方程,好像解不出来???2 k7 m  {* n& K
) B  h, g( c: B
链接如下求助一道作图难题http://www ...

+ C! t. K& ]; j6 P3 S% s确实是高次方程,也可以解出来,但结果和画图过程将繁复无比,继续研究它没有多大意义了
发表于 2016-9-2 09:38:30 | 显示全部楼层 来自: 中国河南新乡
新手进来学习学习
 楼主| 发表于 2016-9-2 15:26:24 | 显示全部楼层 来自: 中国广东广州
woaishuijia 发表于 2016-9-2 08:458 u0 ^  K4 b$ @, n8 z# W
确实是高次方程,也可以解出来,但结果和画图过程将繁复无比,继续研究它没有多大意义了
- B. ]" c  @, g, G9 D
求解啊,版主大神。请大师赐教
发表于 2016-9-2 16:51:59 | 显示全部楼层 来自: 中国黑龙江伊春
明天你好吗 发表于 2016-9-2 15:26( ?! S/ U4 O4 f; v  Y2 F+ l8 j( k
求解啊,版主大神。请大师赐教
& P, A' ~# h: \# B8 p0 K
百度百科“一元四次方程求根公式”
 楼主| 发表于 2016-9-2 18:45:22 | 显示全部楼层 来自: 中国广东惠州
woaishuijia 发表于 2016-9-2 16:51$ F, ?) ?' _6 f# ~, ~
百度百科“一元四次方程求根公式”

4 C& z# ^- o7 Z/ Y9 [9 k& e' |. }明白了,解太复杂,不纠结这题了。还剩最后两题了,版主大师再帮忙研究研究。  E# _, m  A; p5 o
http://www.3dportal.cn/discuz/fo ... 6865&extra=page%3D1
发表于 2016-9-3 10:39:13 | 显示全部楼层 来自: 中国黑龙江伊春
明天你好吗 发表于 2016-9-2 18:45
' c+ i, Y2 d' E+ x3 s) T+ Q明白了,解太复杂,不纠结这题了。还剩最后两题了,版主大师再帮忙研究研究。9 X4 B/ A1 ~  o6 n
http://www.3dportal.cn ...
) E1 ]+ M5 p9 Y, d7 Q
都是高次方程,有多个解,不适合几何做图,放弃吧
 楼主| 发表于 2016-9-3 12:40:03 | 显示全部楼层 来自: 中国广东广州
woaishuijia 发表于 2016-9-3 10:39
3 c. M9 S! Q& G+ V4 N都是高次方程,有多个解,不适合几何做图,放弃吧

& _% b1 |" o: y$ s2 {2 B明白了谢谢版主赐教
发表回复
您需要登录后才可以回帖 登录 | 注册

本版积分规则


Licensed Copyright © 2016-2020 http://www.3dportal.cn/ All Rights Reserved 京 ICP备13008828号

小黑屋|手机版|Archiver|三维网 ( 京ICP备2023026364号-1 )

快速回复 返回顶部 返回列表