QQ登录

只需一步,快速开始

登录 | 注册 | 找回密码

三维网

 找回密码
 注册

QQ登录

只需一步,快速开始

展开

通知     

查看: 3441|回复: 8
收起左侧

[讨论] 这个图如何画出来

[复制链接]
发表于 2016-10-11 14:57:14 | 显示全部楼层 |阅读模式 来自: 中国上海
安装
主题分类用于问题归类:

马上注册,结识高手,享用更多资源,轻松玩转三维网社区。

您需要 登录 才可以下载或查看,没有帐号?注册

x

这个图如何画出来

这个图如何画出来

) @  v9 H1 |$ `
发表于 2016-10-11 15:54:03 | 显示全部楼层 来自: 中国广东东莞
参数,条件约束
 楼主| 发表于 2016-10-11 16:09:18 | 显示全部楼层 来自: 中国上海
懂你1018 发表于 2016-10-11 15:54: K; R6 b! J5 y. m7 a  _
参数,条件约束

# v. p( e; b1 n6 k1 y你没有理解题意:用图板绘图
发表于 2016-10-11 16:29:32 | 显示全部楼层 来自: 中国广西南宁
本帖最后由 chenmik 于 2016-10-11 16:34 编辑 8 u2 z. D" W( b

5 z# F9 J* c( b( K7 I4 T4 F/ I% B这个跟以前那个“筷子插进瓶子里”的难题类似,应该是没有尺规解法。用三维圆椎画法可能有解。woaishuijia版主精通此画法,可期待一下。' Z$ }+ O+ x. e8 c: R3 R- X
就是下面这个图8 j; L2 e* Y* s- X4 w4 L2 E& c' ?1 v
06b8e213759f332c4c5be1e682450eef.jpg
' w4 n. r3 \6 s0 [6 P& h8 ]) V

评分

参与人数 1三维币 +2 收起 理由
2005llnn + 2 鼓励积极应答和参与的回帖。

查看全部评分

发表于 2016-10-12 01:26:29 | 显示全部楼层 来自: 中国广东惠州
本帖最后由 明天你好吗 于 2016-10-12 01:28 编辑
' G' R" d. F" P( A/ w9 r- U% h7 L+ n8 a1 v) h- w+ {
11.png
. J: a/ [! ^6 U- i& K& K 10.png
+ \4 j' @5 e: D3 O) G' m$ V. G) f0 e7 r* s% U

评分

参与人数 1三维币 +2 收起 理由
woaishuijia + 2 鼓励有意义的求助或讨论的主题。

查看全部评分

发表于 2016-10-12 01:41:15 | 显示全部楼层 来自: 中国辽宁沈阳
本帖最后由 woaishuijia 于 2016-10-12 01:57 编辑 5 E% G! K6 O, v6 n% l
2 @& N2 k9 q, q; }
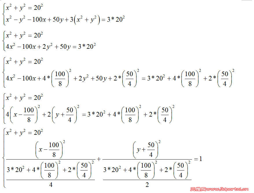
此图没有严格意义上的尺规画法。符合数学原理的CAD画法只能借助圆锥曲线。
2 p' ^; \0 ^# H: \! [4 @1 Z0 Y 1.PNG + i/ j; ]& C8 f  r" E/ k2 V& J
# Z: f' b# L  K' }
上图中,大小三角形为相似形,设其线性比例为k,可列方程
, G5 L5 U' s1 M4 P
) |8 L2 B& |: P6 @+ Y 2.PNG % ~( W/ C7 d  k# k# A/ ^, ]

# |" g3 t0 R$ B5 w上式为一个圆和一条双曲线。双曲线可以通过剖切三维圆锥实体得到。具体可以参考号称“难倒一片CAD高手的直角三角形”可以用autocad画出来% z% H1 x, S. o: o. A/ }

$ Z/ F' g/ o8 F! W" e7 O* I# C8 U9 LPS:楼上的代数式为一个圆和一条抛物线,剖切三维圆锥实体得到抛物线并完成做图,非常棒
# k) M  L9 H5 Y) d1 x6 e* W0 E- \* n: Z' s7 ~  J2 `
但对于不熟悉AutoCAD三维的网友来说,三维圆锥实体建模可能有些难度。) ?9 U$ U& }4 ?) \/ k

7 d" X( x7 }  Z其实我们可以对上式稍加变化,用椭圆代替双曲线
% }& j; ^2 ]. |; W. q( g1 ^2 V! a( P2 @9 E
3.PNG 6 x  \% S$ B' n/ T. k4 g

% \1 H3 N5 b: w8 \$ k 4.PNG
/ r* \0 ]8 f+ d6 ^6 W2 ~& f2 e; H; j/ E( b1 ^
用画图方法求椭圆长短轴长度的方法可参考一点画图经验,送给初学画图的朋友做参考!+ m- o! H6 U+ y( y
4 a0 Q8 K, p/ C2 S  P
5.PNG * v6 U, j. a, f. H/ h( q# P& ]

: r- G( U  _7 \- L" g+ k9 l( q+ T

评分

参与人数 1三维币 +5 收起 理由
2005llnn + 5 鼓励积极应答和参与的回帖。

查看全部评分

发表于 2016-10-12 08:17:43 | 显示全部楼层 来自: 中国广东惠州
woaishuijia 发表于 2016-10-12 01:41/ U; ]  Q+ C) S! R
此图没有严格意义上的尺规画法。符合数学原理的CAD画法只能借助圆锥曲线。
( T7 [0 v  g5 h
又学习版主的一种方法
发表于 2016-10-12 14:15:32 | 显示全部楼层 来自: 中国广西南宁
woaishuijia 发表于 2016-10-12 01:41$ Z- Y  l  I3 {( q/ G. s
此图没有严格意义上的尺规画法。符合数学原理的CAD画法只能借助圆锥曲线。

5 ]' B  g" ^3 r' |- Y 我的哥.png
发表于 2016-10-18 16:27:17 | 显示全部楼层 来自: 中国安徽合肥
第一次接触这类解析几何题目,有意思。
发表回复
您需要登录后才可以回帖 登录 | 注册

本版积分规则


Licensed Copyright © 2016-2020 http://www.3dportal.cn/ All Rights Reserved 京 ICP备13008828号

小黑屋|手机版|Archiver|三维网 ( 京ICP备2023026364号-1 )

快速回复 返回顶部 返回列表