QQ登录

只需一步,快速开始

登录 | 注册 | 找回密码

三维网

 找回密码
 注册

QQ登录

只需一步,快速开始

展开

通知     

查看: 4342|回复: 14
收起左侧

[求助] 这个图怎么画?

[复制链接]
发表于 2016-12-6 13:44:46 | 显示全部楼层 |阅读模式 来自: 中国广西南宁
画图
主题分类用于问题归类:

马上注册,结识高手,享用更多资源,轻松玩转三维网社区。

您需要 登录 才可以下载或查看,没有帐号?注册

x
感觉不知如何确定圆的切点啊,有几何解法吗?
3 k  i- S+ n" o4 f* d9 h5 Z+ s) c% _( G6 U1 M$ Y3 \7 C
求助.PNG * m# L  X8 V# a  z7 K2 B/ x
- f; h: q4 G3 Y6 ?' a% E0 F

评分

参与人数 1三维币 +3 收起 理由
woaishuijia + 3 鼓励有意义的求助或讨论的主题。

查看全部评分

发表于 2016-12-6 20:04:27 来自手机 | 显示全部楼层 来自: 中国广东
还真不容易,比较直观的几何性质是三个圆的外位似中心共线(就是那条虚线,大圆与两个小圆内切,两切点就是外位似中心,这条虚线还通过两个小圆的外位似中心),但貌似没用到这条性质。目测应该需要转一下图,转成线与角度的问题,然后就可以把圆去掉,应该需要计算吧。
发表于 2016-12-6 20:05:34 来自手机 | 显示全部楼层 来自: 中国广东广州
还真不容易,比较直观的几何性质是三个圆的外位似中心共线(就是那条虚线,大圆与两个小圆内切,两切点就是外位似中心,这条虚线还通过两个小圆的外位似中心),但貌似没用到这条性质。目测应该需要转一下图,转成线与角度的问题,然后就可以把圆去掉,应该需要计算吧。
发表于 2016-12-6 23:43:42 | 显示全部楼层 来自: 中国江西南昌
本帖最后由 oxm44 于 2016-12-7 23:34 编辑
- T& T. }' ?) l# A7 U6 ]7 w
3 ]6 g0 ~3 y5 G4 Z+ q8 q确实有点麻烦!
$ U" f1 `. w7 p) P. Q8 Z1 f. v' c这样画应该可以:
' \2 p: `7 N! u6 I7 n; d7 T; Y 9B.PNG
2 t+ N$ H% p* Q
发表于 2016-12-7 14:08:32 | 显示全部楼层 来自: 中国北京
本帖最后由 D版 于 2016-12-7 14:14 编辑 1 S' |7 P; l; u6 H8 y: f. f

5 L1 e4 D- D  K刚才看错了,先占个坑,一会弄答案
4 h- p, j  W+ Z" @
发表于 2016-12-7 15:20:21 | 显示全部楼层 来自: 中国江苏苏州
看看这个一象
1.png
 楼主| 发表于 2016-12-7 17:23:16 | 显示全部楼层 来自: 中国广西南宁
tlptlp999 发表于 2016-12-7 15:20  X* V4 W# e, U$ w6 m
看看这个一象
! `$ ^0 b& f' ?$ l, M3 y& }4 [5 `
这个好象不正确哦。
2 K/ I1 u- U4 \* j$ {% P  S 1207.GIF
  Q: {  m3 T1 }8 L2 f  L2 b# k$ l, n8 y" V; ^7 _7 z& T
发表于 2016-12-8 10:44:47 | 显示全部楼层 来自: 中国江西南昌
9-.PNG
# f/ c8 I3 ~  K: y# @认定上图中的红点为切点是没有根据的,只是猜测而已(貌似切点)。, X( U2 i) k( o* q. I( h
下图的作法可以参考:
1 g" ?7 ]! g. `' z 9B.PNG , N) F3 F, _; Y" z/ N
发表于 2016-12-8 10:50:04 | 显示全部楼层 来自: 中国江苏苏州
没作出来,
 楼主| 发表于 2016-12-8 13:21:45 | 显示全部楼层 来自: 中国广西南宁
本帖最后由 chenmik 于 2016-12-8 13:45 编辑
/ D! U* I+ j" C* b$ K5 o. Y
oxm44 发表于 2016-12-8 10:44
* J/ P1 s. s) v: c认定上图中的红点为切点是没有根据的,只是猜测而已(貌似切点)。
, u# [# Z8 A& T下图的作法可以参考:

) O2 o# b2 d6 q- r这个题是从下面这个建模图中提取出来的。大师可看一下。如果虚线端点不是和圆切点重合的话,就没什么难度可言了。我当时也是按大师这个思路来作的草图,但最后建模得到的体积与标准答案不对。(后来用约束来作的)。我觉得这样理解:R120圆同时与R10,R6圆相切,切点连线(虚线)与水平线夹角为16度。更符合题意,且只有唯一解。
2 H& {% U: M6 z% t! M+ o& p: Y* B$ f. h- L  |
41.jpg ) \! \1 S7 j1 o) z$ n4 G% S
) J4 N1 x: [0 X# `
发表于 2016-12-8 20:43:29 来自手机 | 显示全部楼层 来自: 中国广东惠州
本帖最后由 明天你好吗 于 2016-12-9 08:38 编辑
$ }7 Y- ?, G& ?: \4 A+ j% _9 O. L6 I9 t5 c  p* r4 m9 m+ {
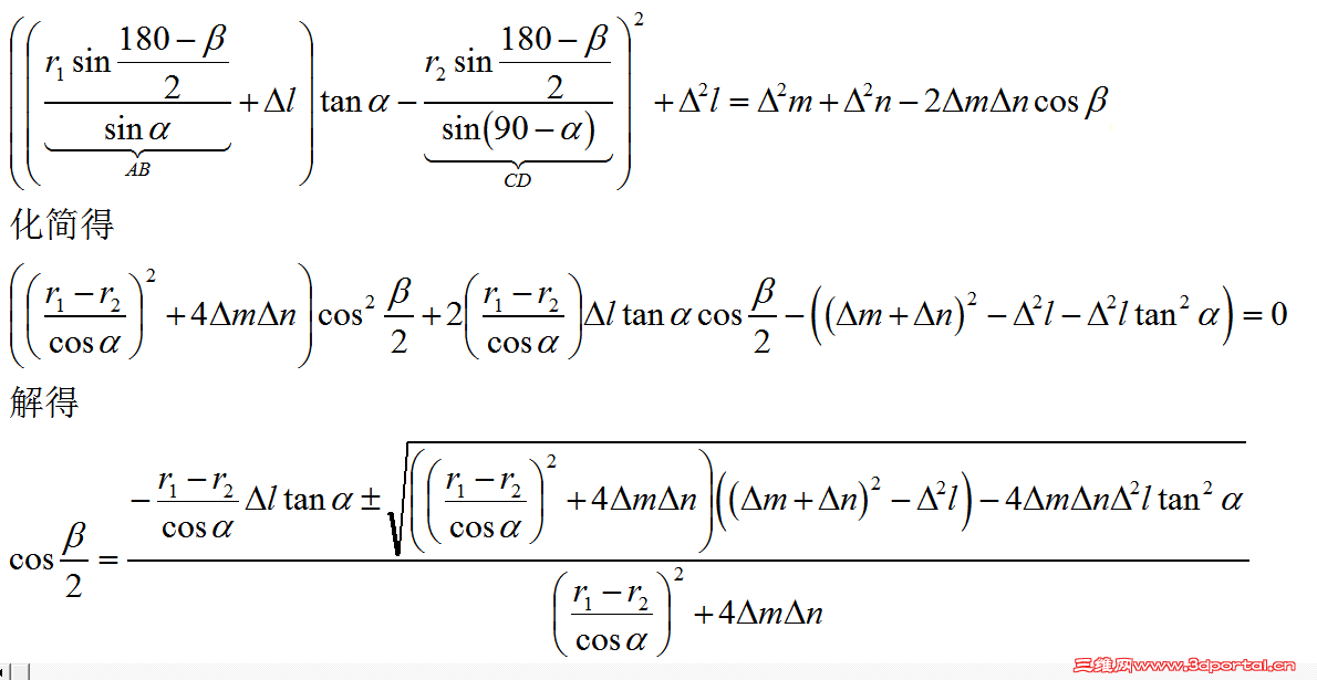
稍会传个算法的,两次正弦定理和一次余弦定理可解。 11.png
* x- ^3 y3 k' X5 R  o' j" @9 M
3 d! R: z/ G9 w 10.png 12.png
& U: \# g. C9 j& h! F0 ^% v9 u& R, e, ]1 c& i+ H7 e) \& B
) [0 c3 ]5 P& G4 X5 s+ |( t

练习题1.zip

2.06 KB, 下载次数: 10

评分

参与人数 1三维币 +5 收起 理由
woaishuijia + 5 感谢您解答了求助的问题。

查看全部评分

发表于 2016-12-9 08:30:51 | 显示全部楼层 来自: 中国广东惠州
知道β角度就容易画出来了
 楼主| 发表于 2016-12-9 09:48:14 | 显示全部楼层 来自: 中国广西南宁
明天你好吗 发表于 2016-12-8 20:43
; E2 C9 v4 w3 C0 @2 r; S; G* @: H# x. T稍会传个算法的,两次正弦定理和一次余弦定理可解。

1 \2 k6 n! G8 ]大神厉害啊!佩服。只是这个算法太高深了,看不懂。" E( F3 l5 M1 }0 w. j* u
我当时在做这道练习的时候(我用CAD做的),也是很纳闷:做个草图也要约束。但后来想想这是在Solidworks版块,Solidworks作草图都是用尺寸驱动的,也就不足为奇了。
& Y$ e  t  ^+ V: M. N& y/ s
发表于 2016-12-9 21:09:49 | 显示全部楼层 来自: 中国广东广州
chenmik 发表于 2016-12-9 09:48
8 t6 _7 [; D% D0 t) S大神厉害啊!佩服。只是这个算法太高深了,看不懂。
& U. J5 |' I; m我当时在做这道练习的时候(我用CAD做的),也是很 ...
% n4 p* u' m1 V+ X
原来如此
发表于 2017-1-13 17:39:18 | 显示全部楼层 来自: 中国辽宁本溪
几年不来了,来了就看了这一个贴,忍不住得说两句,这本是个简单的事,不要自己难为自己了,有些东西就是约定俗成的……
发表回复
您需要登录后才可以回帖 登录 | 注册

本版积分规则


Licensed Copyright © 2016-2020 http://www.3dportal.cn/ All Rights Reserved 京 ICP备13008828号

小黑屋|手机版|Archiver|三维网 ( 京ICP备2023026364号-1 )

快速回复 返回顶部 返回列表