QQ登录

只需一步,快速开始

登录 | 注册 | 找回密码

三维网

 找回密码
 注册

QQ登录

只需一步,快速开始

展开

通知     

全站
2天前
查看: 1962|回复: 5
收起左侧

[已答复] 弹性力学平衡方程式

[复制链接]
发表于 2007-10-22 17:26:51 | 显示全部楼层 |阅读模式 来自: 中国湖北武汉

马上注册,结识高手,享用更多资源,轻松玩转三维网社区。

您需要 登录 才可以下载或查看,没有帐号?注册

x
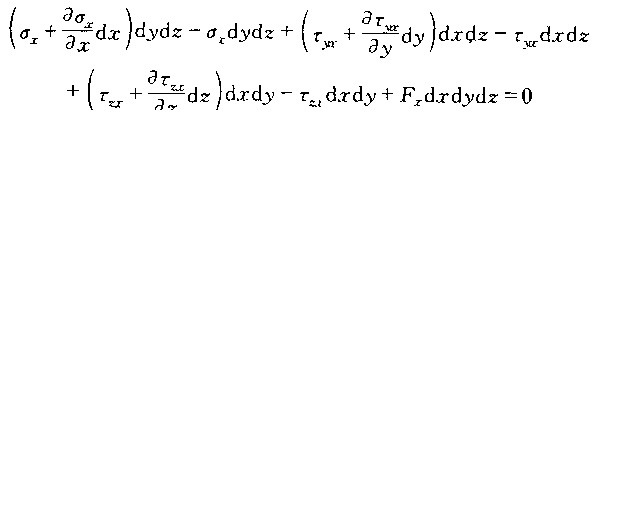
未命名.JPG 此方程是微元体在X方向上的平衡方程,谁能帮我解释一下方程式各部分的意思啊?非常感谢。
发表于 2007-10-22 18:24:00 | 显示全部楼层 来自: 中国四川成都
我看 这有点难度
 楼主| 发表于 2007-10-23 22:23:29 | 显示全部楼层 来自: 中国湖北武汉
此方程是弹性力学最基本的力学平衡方程,不会没有人知道吧!
发表于 2007-10-26 14:33:36 | 显示全部楼层 来自: 中国江苏徐州
书上都有图,上面画出了力,具体的就是应力乘以面积得出的力平衡!
发表于 2008-12-9 15:53:59 | 显示全部楼层 来自: 中国山东青岛
学到了不少,多谢!
发表于 2009-6-10 01:43:02 | 显示全部楼层 来自: 中国湖南长沙
很基本的东西,不知道楼主拿过来是要做什么呢??
发表回复
您需要登录后才可以回帖 登录 | 注册

本版积分规则

Licensed Copyright © 2016-2020 http://www.3dportal.cn/ All Rights Reserved 京 ICP备13008828号

小黑屋|手机版|Archiver|三维网 ( 京ICP备2023026364号-1 )

快速回复 返回顶部 返回列表