QQ登录

只需一步,快速开始

登录 | 注册 | 找回密码

三维网

 找回密码
 注册

QQ登录

只需一步,快速开始

展开

通知     

全站
10天前
查看: 1546|回复: 3
收起左侧

[已解决] 公式转化

 关闭 [复制链接]
发表于 2009-3-2 15:06:33 | 显示全部楼层 |阅读模式 来自: 中国山东烟台

马上注册,结识高手,享用更多资源,轻松玩转三维网社区。

您需要 登录 才可以下载或查看,没有帐号?注册

x
本帖最后由 svw0936 于 2010-4-29 17:21 编辑
/ w$ ^4 J/ }0 f1 C( D  g, o
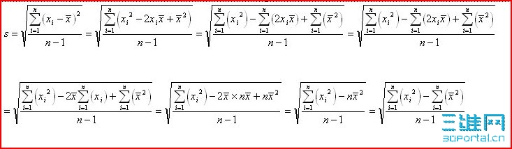
! M& c. @1 J2 o0 m6 T  j请问这两个公式怎样转化
sshot-3.jpg
发表于 2009-3-5 08:20:46 | 显示全部楼层 来自: 中国湖北十堰
重新在公式编辑器中编辑一下了!
发表于 2010-4-29 17:20:18 | 显示全部楼层 来自: 中国上海
转化不到你说的这个吧:
sshot-2.jpg

评分

参与人数 1三维币 +3 收起 理由
YHHL + 3 应助

查看全部评分

 楼主| 发表于 2010-4-30 15:40:40 | 显示全部楼层 来自: 中国山东烟台
3# svw0936 - E' @; b6 C: k
谢谢三楼的朋友
发表回复
您需要登录后才可以回帖 登录 | 注册

本版积分规则


Licensed Copyright © 2016-2020 http://www.3dportal.cn/ All Rights Reserved 京 ICP备13008828号

小黑屋|手机版|Archiver|三维网 ( 京ICP备2023026364号-1 )

快速回复 返回顶部 返回列表