QQ登录

只需一步,快速开始

登录 | 注册 | 找回密码

三维网

 找回密码
 注册

QQ登录

只需一步,快速开始

展开

通知     

查看: 5962|回复: 7
收起左侧

[已解决] 关于起重机轮压到底有几种算法?

[复制链接]
发表于 2009-4-5 22:00:42 | 显示全部楼层 |阅读模式 来自: 中国江苏无锡

马上注册,结识高手,享用更多资源,轻松玩转三维网社区。

您需要 登录 才可以下载或查看,没有帐号?注册

x
我在计算起重机最大轮压时,查到两种计算轮压的方法,但不知道两种方法哪种更对阿?向各位求教了...: A7 q0 s* m4 D+ i6 N2 T2 |% M9 L2 E
第一种方法:P=φ2*(G-G小车)/4+φ1* (Q+G小车)/2       (φ2为起升载荷动载系数  ,   φ1为起升冲击系数,G为起重机重量,G小车为起重机小车的重量,Q为起重量)0 ]3 ~2 q6 F5 N
第二种方法:  P=(G-G小车)/4+(Q+G小车)(L-I1)/(2L)      (L为跨度, I1为主钩中心线离端梁中心线最小距离)
/ v: k% R& U. Q1 y3 q
* o8 b) e6 ]/ R" ~还有,大车的轮压计算方法和小车的轮压计算方法相同吗?对于单或双梁起重机计算轮压时是否要区分考虑?
; x7 {3 C5 A( D" U
发表于 2009-4-6 22:16:00 | 显示全部楼层 来自: 中国山东潍坊
)2*(
; ^; j. a/ U6 ?2 y, R/ d第一种方法显然是很不准确的,公式连起重机的极限都没考虑,何来最大轮压。
; k& O9 l7 W+ ~4 T3 V( ]
+ K: {7 m" P  n0 ]0 Q. o( P- ^: I# K第二种方法我试着用它计算了几个,发现公式计算出来的轮压跟理论数值差得不多,稍小一点。自己考虑加个系数,这公式可以估算轮压。3 X% K% i* ?9 A
: Z; u+ S6 n9 @1 [7 W, `
最好的计算轮压的方法有点麻烦,不过这比你上边这公式的计算方法准确得多。 3 c3 v+ L2 j$ t( ~, G/ J/ _1 G1 R1 C
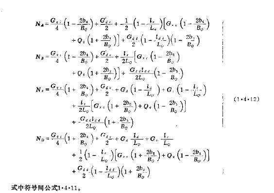
单梁和双梁的计算方法区分考虑。  贴个图你看看吧。。' U2 y3 L9 A" c
计算最大轮压时一般只计算NA即可,(即司机室悬挂的梁)
' Z  k: A, f) `0 l) m- _
+ r, K! Y1 W/ l9 J4 g# g1 a[ 本帖最后由 124051064 于 2009-4-6 22:19 编辑 ]
QQ截图未命名1.jpg
QQ截图未命名2.jpg
QQ截图未命名3.jpg

评分

参与人数 1三维币 +5 收起 理由
z6z6j6 + 5 技术讨论

查看全部评分

 楼主| 发表于 2009-4-9 22:22:16 | 显示全部楼层 来自: 中国江苏无锡
谢谢,解答的很详细,非常感谢!只是图片上有些字看不清,有哪位知道上述公式可以在哪里找到呢?谢谢了
发表于 2009-4-10 00:20:56 | 显示全部楼层 来自: 中国上海
可以查阅参考 起重机设计手册

评分

参与人数 1三维币 +1 收起 理由
et998866 + 1 应助

查看全部评分

发表于 2009-7-27 12:49:24 | 显示全部楼层 来自: 中国浙江嘉兴

回复 3# lvt2009 的帖子

是出于起重机设计手册---铁道部出版的.
发表于 2010-1-7 17:34:18 | 显示全部楼层 来自: 中国河南洛阳
我给你提供我常用的计算方式:
, i) A" N: V5 U% h* P3 M0 {(起绳重+小车重)/2×0.9+桥架/4+1个大车运行+司机室=轮压
发表于 2010-1-17 13:14:33 | 显示全部楼层 来自: 中国上海
6# 小代
1 y% Z6 h+ L9 n5 x' O# e
9 a' ^- b! o2 m, v* |) K% q" ^7 M请问楼主说的:一个大车运行是指的什么?能不能说的再详细点.
发表于 2010-4-28 21:12:56 | 显示全部楼层 来自: 中国山西太原
一个大车运行,应该就是一个大车运行机构的质量吧
发表回复
您需要登录后才可以回帖 登录 | 注册

本版积分规则


Licensed Copyright © 2016-2020 http://www.3dportal.cn/ All Rights Reserved 京 ICP备13008828号

小黑屋|手机版|Archiver|三维网 ( 京ICP备2023026364号-1 )

快速回复 返回顶部 返回列表