QQ登录

只需一步,快速开始

登录 | 注册 | 找回密码

三维网

 找回密码
 注册

QQ登录

只需一步,快速开始

展开

通知     

查看: 2626|回复: 16
收起左侧

[已解决] 尺寸检验有什么工具

[复制链接]
发表于 2009-6-7 22:38:17 | 显示全部楼层 |阅读模式 来自: 中国上海

马上注册,结识高手,享用更多资源,轻松玩转三维网社区。

您需要 登录 才可以下载或查看,没有帐号?注册

x
像齿轮的检验,公差的检验,特别是形位公差,还有表面粗糙°的检验工具有什么啊?8 p4 ]) Z- v& F6 A, X1 g* r4 ?- x
大家帮帮忙呢
0 `4 y' P% ~. o/ l9 K谢谢4 {3 e  d6 g: Y# P+ l

  b# X+ I" D" {2 y[ 本帖最后由 xl.zhuo 于 2009-6-10 20:40 编辑 ]
发表于 2009-6-7 22:50:24 | 显示全部楼层 来自: 中国江西九江
表面粗糙度一般采用对照样板检查。( I! ?# v3 G! B; w
0 S; D8 a) X$ w+ S6 o$ t
齿轮综合检查仪检查综合精度
发表于 2009-6-8 09:35:11 | 显示全部楼层 来自: 中国山东烟台
样板和粗糙度仪
发表于 2009-6-8 09:53:41 | 显示全部楼层 来自: 中国江苏苏州
齿轮的检验:万能测齿仪: V4 B. N0 j, C4 ^' \! @
形位公差:三坐标
发表于 2009-6-8 10:53:01 | 显示全部楼层 来自: 中国台湾
量具很多款喔) p7 h8 B# K( y, ]: W- j& ~8 Q: O% H
請問你要針對齒輪做檢測嗎?! t; v5 t, l$ W% i# g" n: P
例如公差  這範圍很廣... 角度的 平行的 同心軸..........2 g5 p5 e, V/ t; L9 b) u
表面粗糙度   有粗糙快比樣 還有電子式的
头像被屏蔽
发表于 2009-6-8 14:13:02 | 显示全部楼层 来自: 中国辽宁丹东
提示: 作者被禁止或删除 内容自动屏蔽
发表于 2009-6-8 14:28:05 | 显示全部楼层 来自: 中国广东珠海
尺寸、型位公差检验如何选择测量器具与被侧零件精度有关。
发表于 2009-6-8 22:28:45 | 显示全部楼层 来自: 中国北京

71种常用量具的操作规程使用校对标准

71种常用量具的操作规程使用校对标准

71种常用量具的操作规程使用校对标准.rar

370.03 KB, 下载次数: 18

评分

参与人数 1三维币 +2 收起 理由
xl.zhuo + 2 好资料,感谢您对论坛的支持!

查看全部评分

发表于 2009-6-9 11:44:23 | 显示全部楼层 来自: 中国广东佛山
粗糙度如果要求高可以用专用的测试机器···8 {8 |2 D# Z0 V4 l" M* W4 x& t* ~
不过很贵就是···
发表于 2009-6-9 14:10:07 | 显示全部楼层 来自: 中国上海
锥齿轮的精度测量方法和圆柱齿轮类同,通常可分为三种:坐标式几何解析测量法。即把锥齿轮作为一个几何实体,对其几何元素分别进行单项几何精度的测量;齿轮测量中心是其主要测量仪器。啮合式综合精度测量法。即把锥齿轮作为一个传动元件,对其传动精度、接触斑点、振动噪音进行综合测量。其测量仪器主要有锥齿轮单面啮合检查仪、锥齿轮双面啮合测量仪及锥齿轮滚动检验机。锥齿轮整体误差测量法。它将锥齿轮作为一个用于实现传动功能的几何实体,或用坐标测量法按单项几何精度测量方式测量出锥齿轮的整体误差,实现锥齿轮单项几何误差和传动精度、质量之间内在联系的分析研究;或按单面啮合测量方式、采用啮合点扫描测量方法,对锥齿轮的整体误差进行测量,得到锥齿轮的综合运动精度、接触斑点以及各单项几何精度。因此,锥齿轮整体误差测量法是前两种测量方法的集成和发展。
发表于 2009-6-9 14:14:54 | 显示全部楼层 来自: 中国上海
《公差与技术测量》实验指导书  U' z# o+ C; i9 C
' R6 b+ L: ^! A1 G7 q' W
第一章
! H1 `5 w9 r1 l& G: N/ V
技术测量的基本知识) A& e0 ?3 L/ A8 j) A: E! s
第一章" S! T; l6 g- P
表面粗糙度及形位误差的实验内容及方法指导, f0 y3 y" C, k3 q# j

, r1 s  \8 L  i3 `

( y) c* \: g" j
第一章' }$ v- B- ]7 Z( l/ ^! y5 m
螺纹综合测量实验指导% O/ d! ^6 r( {) t; M/ y
齿轮测量实验指导1 B4 \8 J6 R. q, u1 M" j0 n% S
4 @; o( |$ R5 O2 x+ W! Y+ z

/ W6 z2 T' q+ k, b4 V' Y

《公差与技术测量》实验指导书.rar

399.86 KB, 下载次数: 8

 楼主| 发表于 2009-6-10 09:26:02 | 显示全部楼层 来自: 中国上海
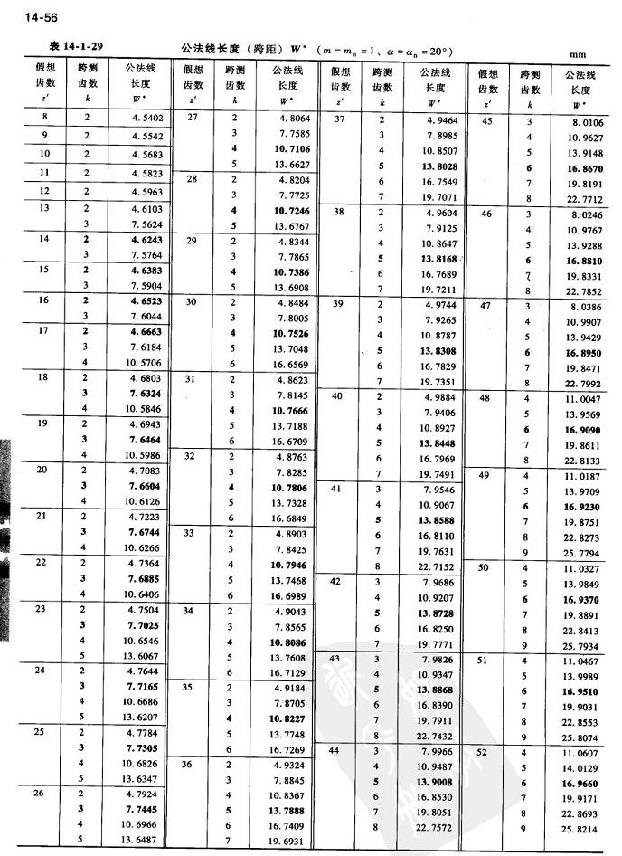
“根据齿轮的已知参数求出跨齿数n和公法线长度W”6 c( u4 S8 a, M5 i* M4 _& N* l
这个具体怎么算啊??还请各位大虾帮忙呢
发表于 2009-6-10 15:14:58 | 显示全部楼层 来自: 中国湖北十堰
原帖由 傲骨悲鸿 于 2009-6-10 09:26 发表 http://www.3dportal.cn/discuz/images/common/back.gif4 M  e. w0 F) H; X  d' q
“根据齿轮的已知参数求出跨齿数n和公法线长度W”+ Z% e9 t" R2 ]$ i1 z
这个具体怎么算啊??还请各位大虾帮忙呢

% ?( A8 s! T2 ]4 T; j7 V根据齿数查下公法线长度W表即可得出跨测齿数和m=1mm时的公法线长度,然后将查得数乘模数就是被测齿轮的公法线长度了。
1.jpg

评分

参与人数 1三维币 +1 收起 理由
xl.zhuo + 1 应助

查看全部评分

 楼主| 发表于 2009-6-11 15:40:45 | 显示全部楼层 来自: 中国上海

回复 13# 渔樵 的帖子

真是谢谢你了 9 {) I' n, D0 F! ~0 ]) B4 T
万分感谢
 楼主| 发表于 2009-6-11 15:42:11 | 显示全部楼层 来自: 中国上海
再补充一个问题啊
) s% G. ~" K& G% a. K! j' T就是我现在有一个导向块  是1/4圆的7 l& D) ~4 I9 V
材料是PA66
4 O2 D7 @2 r- H& W4 T# n不知道怎么能测出直径尺寸啊
1 r5 j0 q; C- B3 k0 I附图
8 |" w/ Z  g: K. u( B/ ~! p4 Y3 Z" ^3 B. E) ~
[ 本帖最后由 傲骨悲鸿 于 2009-6-11 15:57 编辑 ]
1.jpg
2.jpg
发表于 2009-6-11 20:12:02 | 显示全部楼层 来自: 中国安徽合肥
原帖由 scn0543 于 2009-6-8 09:53 发表 http://www.3dportal.cn/discuz/images/common/back.gif
; L  r& T5 z: I0 M  A/ ~- M3 M齿轮的检验:万能测齿仪: ^+ b3 b( W, Y" D9 \6 q9 _
形位公差:三坐标

2 V0 t7 m0 ~9 Q  ]) o# a( E粗糙度:样板
发表于 2009-6-12 11:26:30 | 显示全部楼层 来自: 中国上海
测圆的直径只需要三个点就行了,用三坐标直接搞定!
发表回复
您需要登录后才可以回帖 登录 | 注册

本版积分规则


Licensed Copyright © 2016-2020 http://www.3dportal.cn/ All Rights Reserved 京 ICP备13008828号

小黑屋|手机版|Archiver|三维网 ( 京ICP备2023026364号-1 )

快速回复 返回顶部 返回列表