QQ登录

只需一步,快速开始

登录 | 注册 | 找回密码

三维网

 找回密码
 注册

QQ登录

只需一步,快速开始

展开

通知     

查看: 2199|回复: 11
收起左侧

[讨论] 实际工作中遇到的问题,求图中L长

[复制链接]
发表于 2009-6-22 15:49:58 | 显示全部楼层 |阅读模式 来自: 中国江苏南通

马上注册,结识高手,享用更多资源,轻松玩转三维网社区。

您需要 登录 才可以下载或查看,没有帐号?注册

x
实际工作中遇到的问题,求图中L长
; T& s* G, ~2 I附图( R9 [4 Z. k# ?% |
- H, D, h+ c) f/ E* z" u
发不了图片,只能把图片压缩了上传,请大家谅解。4 [" H& D' a9 J* g0 `

: c7 e/ a1 W- J5 r  F2 T$ C我希望采用cad直接绘制,不采用3维软件或计算得到结果。5 Y( |; w# v9 A

! E' h8 G. y4 X+ X$ q( B8 Y[ 本帖最后由 zhgq 于 2009-6-22 16:02 编辑 ]

2009-06-22 15-47-05.rar

9.11 KB, 下载次数: 23

大小头.wmf

8 KB, 下载次数: 17

评分

参与人数 1三维币 +5 收起 理由
2005llnn + 5 提供技术讨论

查看全部评分

发表于 2009-6-22 16:25:15 | 显示全部楼层 来自: 中国上海
我来贴个图吧, Q. X: _3 h6 D8 R7 d5 r- a: ], a
2009-06-22 15-47-05.png

评分

参与人数 1三维币 +2 收起 理由
2005llnn + 2 感谢帖图

查看全部评分

发表于 2009-6-22 17:07:29 | 显示全部楼层 来自: 中国北京
既不用公式计算,又不用几何画法求解;
+ Z. ^# A' I0 B俺认为没法做...
3 K7 z% D. P9 O3 l7 o# o3 I请问:钩三股四弦五行吗?6 h, L; w0 N. a0 a( j
发表于 2009-6-22 17:15:15 | 显示全部楼层 来自: 中国江苏无锡
刚画了下,感觉少了角度尺寸,请高手指点!
头像被屏蔽
发表于 2009-6-22 17:24:06 | 显示全部楼层 来自: 中国辽宁营口
提示: 作者被禁止或删除 内容自动屏蔽
发表于 2009-6-22 18:06:55 | 显示全部楼层 来自: 中国广西崇左
采用一种新方法“精确选点法”解CAD难题就很简单
( h, ?% E$ \, R" ]& {1 z% ~7 R% w/ c5 [) Q6 s( C: T. B
Drawing1.jpg
( e5 v% l$ }0 D9 s- u: l8 y3 m- e) }/ P  N( s1 Q7 n8 T' H- b
下面是最后几步的动画演示,精度为小数点后2位,如果要更加精确的,可以通过放大图形来作图。
; {) W! g' V; n; o/ z 090623.gif : `# L' Y! I, v

( F4 _. S2 B! f[ 本帖最后由 2005llnn 于 2009-6-23 16:46 编辑 ]
发表于 2009-6-22 19:25:17 | 显示全部楼层 来自: 中国浙江金华
这种题就如象棋摆局一样。
1 T! _8 D) S% t' [7 k# ~根本不是什么工作实际碰到的问题。* C( l8 M7 I5 \
这种题俗称“杯中筷子”,可用三维园锥求抛物线(但我并不认为这是平面几何作图的范畴)
  \6 B- _+ I# p# e1 [& ~# U如果你会约束,那就是几十秒的事。
- o  G9 w- l2 B5 r8 ?8 t. X7 d5 W5 }. |; I+ t& ^
[ 本帖最后由 czy12 于 2009-6-22 19:26 编辑 ]

评分

参与人数 1三维币 +3 收起 理由
2005llnn + 3 技术讨论

查看全部评分

发表于 2009-6-22 21:22:55 | 显示全部楼层 来自: 中国安徽滁州
不经过计算角度,直接用cad绘制出L值,试了半天,找不出好的办法,可能无法画出。
发表于 2009-6-23 10:44:40 | 显示全部楼层 来自: 中国辽宁营口
这个图没有二维几何画法,到目前为止我们知道的唯一符合数学原理的画法是三维空间的圆锥画法,其它还有逼近(如6楼)、计算、约束等方法也可以画出令人满意的结果--尽管从原理上都属于近似方法。1 c' w( ~# [7 X; V
一、三维圆锥画法
/ ^9 ]! w8 _% b在世界坐标系画三条直线如图。其中237.5和208都是已知条件,较长的两条直线画法很简单,最短的直线可以先计算出长度再画,也可以用'cal透明命令输入算式画,也可以先画出长度为10816的直线后再参照缩放为原长度的237.5分之一
$ d# b1 C5 C. \+ m9 p
: L6 |; s& F( W# ^0 o Untitled-1.gif
* o$ X: S+ B7 Q: R( x- G  o- J! Y$ B9 |5 `
进入主视图,从原点出发画一个闭合多段线的等腰直角三角形如图,直角边长150(画大一点以免后面不够用)" l: f9 [( w* D( n, J$ V

6 ~8 j2 U% J) C/ n3 P( L' r0 G, k Untitled-2.gif ' c0 ^3 I# `$ w5 }

* ?' Z' F: \: G. t! C2 K把闭合多段线旋转建模成为三维圆锥实体2 W6 ]0 I& ]( s! T* ^$ _* a

4 V% @7 R% H, h Untitled-3.gif
2 f2 J% ^9 K$ D: x' a  Y  Q( K& W- `: H
以圆锥顶点为基点,把圆锥移到长度为118.75直线的端点9 E* |. I/ N3 }' P/ {1 W$ Z. E

# }! [5 S# R: o, `+ U& F# ? Untitled-4.gif
3 L8 u) W5 p: R9 o& [8 j% x
1 j/ X0 J4 C$ _9 x用过原点的主视图ZX平面剖切圆锥,保留其中的一半
6 c5 O6 j: _7 R( i, g- L5 a5 e' {6 `$ F2 `) e' t: d
Untitled-5.gif
9 ^: M. F# i2 C5 ~+ `
! X* ~4 J; `2 Y6 B0 Z- W回到世界坐标系,以原点为圆心、半径8画圆  N2 j' I* [$ N0 y6 d& m9 p
' j, [' u/ I- N9 i6 o& d
Untitled-6.gif ! Y* ~8 v6 V; l. ]+ c7 h% Z

* \9 C" l2 i- D- h& V- W6 G把圆压印到实体上
! r, [" I9 \& E( u- m! q  H9 M6 v$ _) U, j. j4 [& v2 V- z3 X
Untitled-7.gif
: B+ Z, s4 K6 O0 L( a! U* k' Y8 z. [: z% ~2 b
从圆心到圆与实体交点画直线,这就是楼主图形中长度为8的直线
3 ?% f" y* B- u6 u; f
, V+ N5 `5 C3 D' f Untitled-8.gif
* j1 i; s9 l" ~' `, A0 D3 h* f- b# Z# E: [0 i
在此基础上画出其余图形并得到最终结果
! K0 L8 W+ G% N  S8 F( H. G
& V5 q6 [9 b% j$ ~- R. n Untitled-9.gif
+ c  g9 z6 R3 e8 `" u* u: V$ i/ C) s: q
二、轨迹法(逼近法的一种)
) o- L' D# l; J2 }画长度237.5水平直线(下面有标注的),在如图位置画R8圆,从长度237.5直线左端向圆引切线,如图
5 Z7 |  {  J$ ]7 v. c+ t
/ d3 S- F# J8 R# N5 }: n Untitled-1.gif
8 D' D5 {2 @4 z% o" l. t/ H; n+ P. t, A) O
把圆向左移动5,再引切线
1 G3 v5 t* ]* ^; x0 m' Z2 P* C* t% ?$ d7 r
Untitled-2.gif / t& a+ m% J) N! Y
9 W5 ?3 y. W2 i4 h
再把圆向左移动5,再引切线; x# V; ?) U) k: v- B

) d" h+ d  ~% X Untitled-3.gif % S6 W- G8 v6 y4 ]# Z
; h, i: W, }2 @* W' |
过三条直线的端点画样条曲线
; |( u" ~+ {- E6 _0 r' j) L  }
4 Z8 Z& s' _3 u Untitled-4.gif . b+ |6 C- W: w* R, c$ u; p5 `

- O8 J! N" E) l. q样条曲线与右侧垂直直线的交点即为近似的结果。
% k0 z! o# \; }
* L1 ]- W" b8 a) i; C7 y6 _5 \ Untitled-5.gif
8 S5 ^# `: }  ^: d- q7 r/ T9 [2 u" E/ O
三、编程' x, o! C; U, S+ f8 t. ]* v# I2 ?
实际上也是逼近法的一种,只不过是换成计算机来操作,速度快、精度高。下面代码是VBA程序

  1. " b- r0 x4 T# Q4 I
  2.     Dim L1 As AcadLine, L2 As AcadLine, P(2) As Double, M As Double, N As Double
    . ^- h& r9 f1 @0 y/ f
  3.     With ThisDrawing
    . [$ _5 j- f& P$ `
  4.         Set L1 = .ModelSpace.AddLine(P, P)
    ' S0 a8 \3 r( P$ Y& \0 s
  5.         Set L2 = .ModelSpace.AddLine(P, P)
    ( f/ A8 E3 Y8 d2 z+ A: L
  6.         P(0) = 237.53 }/ o8 `+ F0 L. N, M7 }' Z8 L
  7.         N = 208
    8 D4 |# J3 b! n% \5 f/ v! [. K
  8.         Do' S( b: b: `5 y
  9.             P(1) = (M + N) / 2
      M2 I! z# u  S; g8 l
  10.             L1.EndPoint = P
    : D" l, c$ V' P
  11.             L2.StartPoint = L1.EndPoint  N% j- F, v3 Q1 J2 _6 p# h
  12.             L2.EndPoint = .Utility.PolarPoint(L1.EndPoint, L1.Angle + .Utility.AngleToReal(90, acDegrees), 8)
      f5 G# Q2 N' j# z
  13.             If L2.EndPoint(1) = 208 Or P(1) = M Or P(1) = N Then
      |4 }7 H: y/ U& {% Q
  14.                 Exit Do1 Q( x+ T  t6 y; k0 A+ G1 B
  15.             ElseIf L2.EndPoint(1) < 208 Then5 c. B. |. s/ h0 R* Z0 M8 w
  16.                 M = P(1)
    4 N3 V3 g0 Z/ Y8 E
  17.             Else  X8 P' D9 S! G: h- |4 K
  18.                 N = P(1)
    + z* c# S& j7 g9 R3 R; c- U4 ?6 J
  19.             End If$ I- {. q* B, ~: t$ d  k
  20.         Loop% v' `( j/ a" v
  21.     End With3 E. j3 p; o7 t3 O- C
复制代码
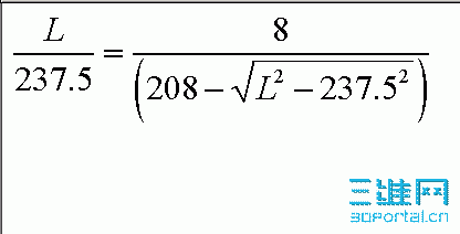
四、计算# m" \1 y; G7 @  D4 \) C: k
根据相似三角形原理和勾股定理列出方程0 `3 P+ O8 g5 r- ]6 v9 x# }

% [/ i) r; }# {6 N( P Untitled-1.gif
9 h% W& U" L6 K* G2 o! ]" {
4 b. l3 O/ U2 g# ?( t+ u整理得
6 ^# `! l% _5 H, @* t5 a5 _- G8 W7 X' I, q
Untitled-2.gif
1 v6 p6 q$ b& S1 t6 m& Q) @2 t8 ?5 l; C' ~4 A
下面既可以用解方程软件计算(这样的软件有多种,本坛『电脑软硬件交流』区就有),也可以用EXCEL软件的单变量求解功能,如下图
! s( W1 T9 a! [9 f* a0 `# w0 P1 \* A+ L  F% R/ i% n
Untitled-3.gif
2 g8 \- e9 }% ]/ {( q$ ~7 \8 S
( b; _& x0 e( A& b( T# mE1单元格显示的就是计算结果,可以据此画出图形
+ B9 i9 Z# \/ @7 v2 v+ L$ U& S, D; s  |5 a/ ]! C" o
Untitled-4.gif 1 }/ T$ ]+ A0 M) X
: }+ Y: B3 i, Z- Z& R# {
五、约束
0 P: S. u) Z6 n6 X7 |$ }4 O如果仅仅是要求结果,MDT和CAD2010的约束功能易学易用,相信更能被多数使用者接受。下面是2010版的约束, f" r; I' ?$ T
随便画两条直线如图- c9 @  J4 F" h  n3 q* E* G4 V

5 z3 [/ @6 t1 j% M4 b! J. ] Untitled-1.gif 0 _# V& J- n; u  j+ U
$ a( t5 ]& ?, d# I. f' W- h: @
用几何约束的“重合”约束两直线的相应端点
$ J7 E0 b" f; Z9 A7 M" k) o% W+ l1 ?5 F% H
Untitled-2.gif
- p" L+ w9 E% u4 z: ~% r# h( N* c
+ [( x) @) a, M1 K* S& R用几何约束的“垂直”约束两直线- k9 R- s' s9 r; X. |

% I8 \, h- c, A0 [8 s Untitled-3.gif " ^& {* ^- h3 A' i7 O: }3 V& y0 n

# J3 k' l$ z4 M1 l+ K  Y6 I用标注约束的“对齐”约束长度应为8的直线两端点  m" ?; J. |; t7 p( D
3 |% ^! L$ _( q1 o# s
Untitled-4.gif
6 `8 \. O' ~) Y4 Z7 K
) i  R# Z* S/ \6 S, q  x# [分别用标注约束的“水平”和“竖直”约束相应的端点,从而得到最终结果
& `, G; S: {" t1 k* _5 t6 w' L+ s1 X( a; \6 e
Untitled-5.gif
- e+ ^  F; B2 r5 p' d
/ e' d; g6 S9 Y+ C' s1 }  F[ 本帖最后由 woaishuijia 于 2009-6-23 10:50 编辑 ]

评分

参与人数 1三维币 +60 收起 理由
2005llnn + 60 技术分享:约束

查看全部评分

发表于 2009-6-23 15:55:24 | 显示全部楼层 来自: 中国广东东莞
想了半天都没想出来,楼上一下子有这么多解法,惭愧
发表于 2009-6-23 18:30:56 | 显示全部楼层 来自: 中国江苏无锡
谢谢9楼的朋友提供的方法,授教了,谢谢!
 楼主| 发表于 2009-6-24 07:29:13 | 显示全部楼层 来自: 中国江苏南通
谢谢大家提供这么多的方法。
发表回复
您需要登录后才可以回帖 登录 | 注册

本版积分规则


Licensed Copyright © 2016-2020 http://www.3dportal.cn/ All Rights Reserved 京 ICP备13008828号

小黑屋|手机版|Archiver|三维网 ( 京ICP备2023026364号-1 )

快速回复 返回顶部 返回列表