QQ登录

只需一步,快速开始

登录 | 注册 | 找回密码

三维网

 找回密码
 注册

QQ登录

只需一步,快速开始

展开

通知     

查看: 1698|回复: 3
收起左侧

[新技术] 超级电容器原理及电特性详细分析

[复制链接]
发表于 2010-8-14 20:56:04 | 显示全部楼层 |阅读模式 来自: 中国湖南株洲

马上注册,结识高手,享用更多资源,轻松玩转三维网社区。

您需要 登录 才可以下载或查看,没有帐号?注册

x
本帖最后由 zmorphis 于 2010-8-17 17:06 编辑
8 m4 F% x& d. V8 p1 |' h' v+ L/ X# G( A+ C; h
超级电容器是一种高能量密度的无源储能元件,随着它的问世,如何应用好超级电容器,提高电子线路的性能和研发新的电路、电子线路及应用领域是电力电子技术领域的科技工作者的一个热门课题。 ; P/ b. e* v/ N. t
1. 级电容器的原理及结构 & {1 w0 p& R7 V1 ]
1.1 超级电容器结构 # U, h" c4 O) m% S* a' D* m
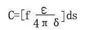
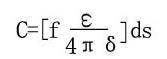
  图一为超级电容器的模型,超级电容器中,多孔化电极采用活性炭粉和活性炭和活性炭纤维,电解液采用有机电解质,如丙烯碳酸脂(propylene carbonate)或高氯酸四乙氨(tetraetry lanmmonium perchlorate)。工作时,在可极化电极和电解质溶液之间界面上形成的双电层中聚集的电容量c由下式确定:
- t+ x3 y4 z0 |& D) [, i6 z+ U' }       1.jpg ! m* W% F1 j" A) I  {5 G
      , f- Z5 k& L4 ]$ \% `  S% f; K, M
其中ε是电解质的介电常数,δ是由电极界面到离子中心的距离,s是电极界面的表面面积。; q/ k) s( |8 \6 L6 [
2.jpg
/ L# p5 [' ?0 Z( m3 T. z, M
图1 超级电容器结构框图
5 L" J6 f( u7 R* @  h6 L+ m
  由图中可见,其多孔化电极是使用多孔性的活性碳有极大的表面积在电解液中吸附着电荷,因而将具有极大的电容量并可以存储很大的静电能量,超级电容器的这一特性是介于传统的电容器与电池之间。电池相较之间,尽管这能量密度是5%或是更少,但是这能量的储存方式,也可以应用在传统电池不足之处与短时高峰值电流之中。这种超级电容器有几点比电池好的特色。% r' ?# \) M2 P& e0 B3 ?
1.2 工作原理" M' u7 K- r7 W+ i( C  j9 ^
   超级电容器是利用双电层原理的电容器,原理示意图如图2。当外加电压加到超级电容器的两个极板上时,与普通电容器一样,极板的正电极存储正电荷,负极板存储负电荷,在超级电容器的两极板上电荷产生的电场作用下,在电解液与电极间的界面上形成相反的电荷,以平衡电解液的内电场,这种正电荷与负电荷在两个不同相之间的接触面上,以正负电荷之间极短间隙排列在相反的位置上,这个电荷分布层叫做双电层,因此电容量非常大。当两极板间电势低于电解液的氧化还原电极电位时,电解液界面上电荷不会脱离电解液,超级电容器为正常工作状态(通常为3V以下),如电容器两端电压超过电解液的氧化还原电极电位时,电解液将分解,为非正常状态。由于随着超级电容器放电 ,正、负极板上的电荷被外电路泄放,电解液的界面上的电荷响应减少。由此可以看出:超级电容器的充放电过程始终是物理过程,没有化学反应。因此性能是稳定的,与利用化学反应的蓄电池是不同的。
6 j8 K% e9 c% |2.3 主要特点% J' b( u/ C) T
  由于超级电容器的结构及工作原理使其具有如下特点:
9 W7 X7 M" H) K7 P) x0 n  s6 y7 o
3.jpg

( P; l2 ]: i( @+ a  图2 超级电容器结构框图
& o- z1 N5 B: @6 Y( H+ l
  ①.电容量大,超级电容器采用活性炭粉与活性炭纤维作为可极化电极与电解液接触的面积大大增加,根据电容量的计算公式,那么两极板的表面积越大,则电容量越大。因此,一般双电层电容器容量很容易超过1F,它的出现使普通电容器的容量范围骤然跃升了3??4个数量级,目前单体超级电容器的最大电容量可达5000F。
% c- x7 ]3 g/ h: R8 h+ k  ②.充放电寿命很长,可达500 000次,或90 000小时,而蓄电池的充放电寿命很难超过1 000次,
+ y2 x7 ?# y) S% \  ③.可以提供很高的放电电流(如2700F的超级电容器额定放电电流不低于950A,放电峰值电流可达1680A,一般蓄电池通常不能有如此高的放电电流一些高放电电流的蓄电池在杂如此高的放电电流下的使用寿命将大大缩短。* U1 q8 c2 a6 N4 z: X7 ^/ m
  ④.可以数十秒到书分钟内快速充电,而蓄电池再如此短的时间内充满电将是极危险的或几乎不可能。
+ w' a6 d# w! b9 }  ⑤.可以在很宽的温度范围内正常工作(-40??+70℃)而蓄电池很难在高温特别是低温环境下工作。
' U6 g1 L1 `9 e6 j; Z  ⑥.超级电容器用的材料是安全的和无毒的,而铅酸蓄电池、镍镉蓄电池军具有毒性。
% B! M& ~2 c0 r( Q1 A! [  ⑦.等效串联电阻ESR相对常规电容器大(10F/2.5V的ESR为110mΩ)。3 n5 o2 c: K) ^: A
  ⑧.可以任意并联使用一增加电容量,如采取均压后,还可以串联使用。
1 B; w  k- q9 x% K2. 级电容器特性
" t/ {0 J9 e0 r% A7 {3 c  超级电容器的主要特性:
4 D4 a9 j# R2 R! R, J2.1 额定容量:, b2 s4 a5 H$ ^# w
  单位:法拉(F),测试条件:规定的恒定电流(如1000F以上的超级电容器规定的充电电流为100A,200F以下的为3A)充电到额定电压后保持2??3分钟,在规定的恒定电流放电条件下放电到端电压为零所需的时间与电流的乘积再除以额定电压值,即:2 R4 `2 p" j$ C
   4.jpg
  m$ @% @& f0 [3 Z0 S  d               
% Z# ?6 B4 v0 d( V# S# D# d  由于等效串联电阻(ESR)比普通电容器大,因而充放电时ESR产生的电压降不可忽略,如2.7V/5 000F超级电容器的ESR为:0.4mΩ,在100A电流放电时的ESR电压降为40mV占额定电压的1.5%,在950A电流放电时的ESR电压降为380mV占额定电压的14%,表明在额定电流下放电容量将为额定容量减小88.5%,这一特性将在图3中看到。3 c% q* s. \/ ^0 L+ ~) a( m
2.2 额定电压:% I' k, j: G5 k" L' e6 c) a/ E
  可以使用的最高安全端电压(如2.3V、2.5V、2.7V以及不久将来的3V),除此之外还有承受浪涌电压电压(可以短时承受的端电压,通常为额定电压的105%),实际上超级电容器的击穿电压远高于额定电压(约为额定电压的1.5??3倍左右,与普通电容器的额定电压/击穿电压比值差不多。
7 ~' y& K& _4 X6 B7 ?: `/ L, D( l6 e) |
5.jpg
  图3  2.7v/2700F超级电容器入电特性曲线
6.jpg
  图4 超级电容器阻抗频率特性
& d2 a3 r7 _3 |& T' t0 k
2.3 额定电流:
& _4 ?3 I; K3 V; [& O) q  Z  5秒内放电到额定电压一半的电流,除此之外还有最大电流(脉冲峰值电流)
4 m* q: C/ y" y1 m  k5 M2.4 最大存储能量:
5 `  y! Q+ b7 i' t5 B. d3 q: k) E  在额定电压是放电到零所释放的能量,以焦耳(J)或瓦时(Wh)为单位) B8 e0 F5 p1 `+ ^5 G2 O, G/ |6 ]! T  c# u
2.5 能量密度:
& b- r( M4 _6 l' E' T$ J$ V/ h  最大存储能量除以超级电容器的重量或体积(Wh/kg或Wh/l)" F* i- D( ^( N8 ^
2.6 功率密度:# v% D2 ^, k. |% [+ k
  在匹配的负载下,超级电容器产生电/热效应各半时的放电功率,用kW/kg或kW/l表示。
" u' }" g0 X  U( Y2.7 等效串联电阻:
6 N3 e3 ^& O) [! R9 @  测试条件:规定的恒定电流(如1 000F以上的超级电容器规定的充电电流为100A,200F以下的为3A)和规定的频率(DC和大容量的100Hz或小容量的KHz)下的等效串联电阻。通常交流ESR比直流ESR小,随温度上升而减小。: d/ t: A8 @0 D  g8 [. c
  超级电容器等效串联电阻较大的原因是:为充分增加电极面积,电极为多孔化活性炭,由于多孔化活性炭电阻率明显大于金属,从而使超级电容器的ESR较其它电容器的大。
# l+ _* s" ?2 J, _3 k2.8 阻抗频率特性:( R/ e0 m  z  s2 j! k
  超级电容器的阻抗频率特性如图4,相对较大的是ESR造成平坦底部的原因,超级电容器的频率特性是电容器中频率特性最差的。其原因是:一般电容器的电荷是导体中的以电子导电方式建立或泄放,而超级电容器的电荷的建立或泄放是以介质中的离子或介质电离极化实现,响应速度相对慢;大容量电容器在制造时均采用卷绕工艺,寄生电感相对无感电容器大。2 K+ y2 f+ e9 l; l
2.9 工作与存储温度:
  q, h$ \9 m8 c0 V* B- R! j  d  通常为-40℃??+60℃或70℃,存储温度还可以高一些。
7 ]) D; n9 A. o1 C* ~+ X+ ?5 ]; s& {2.10 漏电流:( h4 l# m6 n" l- d9 R+ A2 H. p
  一般为10μA/F  H8 z8 I1 k1 f, L9 v: D4 Z
2.11 寿命:
" W* |3 Z' G- V/ ]( O" v  在25℃环境温度下的寿命通常在90 000小时,在60℃的环境温度下为4 000小时,与铝电解电容器的温度寿命关系相似。寿命随环境温度缩短的原因是电解液的蒸发损失随温度上升。寿命终了的标准为:电容量低于额定容量20%,ESR增大到额定值的1.5倍。2 R0 ^# M  Y* I" @, v3 \
2.12 循环寿命:
7 M& _0 P8 x$ K) w# B& x5 R( D8 L
  20秒充电到额定电压,恒压充电10秒,10秒放电到额定电压的一半,间歇时间:10秒为一个循环。一般可达500000次。寿命终了的标准为:电容量低于额定容量20%,ESR增大到额定值的1.5倍。
7.jpg

! Q! a' E+ v# `3 v9 g& w
  图5 额定温度下纹波电流与寿命的关系

5 P+ Z3 O7 _1 ?7 v$ n: I
8.jpg
  图6 不同环境温度下纹波电流与寿命的关系

4 R7 U# P: W& @/ ~! f% e9 v0 k2.13 发热:4 i% `8 k4 w7 w- n0 G( t
  超级电容器通过纹波电流(充、放电)时,回发热,其发热量将随着纹波电流的增加而。超级电容器发热的原因是纹波电流流过超级电容器的等效串联电阻(ESR)产生的功率(能量)损耗转变为热能。由于超级电容器的(ESR)较大,因此在同样纹波电流条件下发热量比一般电容器大。使用时应注意。
6 H' I* `9 e3 F  ]* t6 B# a3. 注意事项
$ g2 \8 ]. p% L  超级电容器在串联应用时特别是较大电容量是应采用均压技术以保证每一个超级电容器单体端电压再额定电压内,目前国内已有各种规格的超级电容器均压电路商品。
0 l+ d0 _0 }, G2 |$ A4. 国内外状况. U1 h2 z* _  Q2 K: r1 q8 a5 y
        业内专家预测,目前中国市场的年需求量可达2150万只,约1.2亿Wh,且每年都在以约50%的速度增长;整个亚太地区的年需求量超过9000万只,约5.4亿Wh,增长速度约为90%;全球的年需求量约为2亿只,约12亿Wh,增长速度约为160%。由此可知,市场前景非常广阔。美国市场研究公司Frost&Sullivan发布的一份报告预计,2002年到2009年之间,全球超级电容器产业的产量和销售收入将分别以157%和49%的年复合增长率保持高速增长。目前,超级电容器占世界能量储存装置(包括电池、电容器)的市场份额不足1%,在我国所占市场份额约为0.5%,因此超级电容器存在着巨大的市场潜力。
1.jpg
2.jpg
3.jpg
4.jpg
5.jpg
6.jpg
7.jpg
8.jpg

评分

参与人数 1三维币 +1 收起 理由
武昌鱼 + 1 谢谢提供

查看全部评分

发表于 2010-8-14 21:23:14 | 显示全部楼层 来自: 中国四川成都
资料的基本内容正确,后部分的数据太老了,已不能代表当今的典型水平。

评分

参与人数 1三维币 +1 收起 理由
武昌鱼 + 1 讨论

查看全部评分

 楼主| 发表于 2010-8-14 22:06:05 | 显示全部楼层 来自: 中国湖南株洲
资料的基本内容正确,后部分的数据太老了,已不能代表当今的典型水平。& X2 F2 s( b# P  o- |: u
叮咚 发表于 2010-8-14 21:23 http://www.3dportal.cn/discuz/images/common/back.gif

. a  q9 \/ D3 X& |5 z( @
! }, I! f2 g2 O9 b多谢指点,对超级电容的理解不是很深,曾有个项目接触过,基本常识,希望对想了解的有点帮助!
发表于 2010-8-15 21:12:39 | 显示全部楼层 来自: 中国北京
现在很多技术都是没有什么发展。谢谢楼主上传。
发表回复
您需要登录后才可以回帖 登录 | 注册

本版积分规则


Licensed Copyright © 2016-2020 http://www.3dportal.cn/ All Rights Reserved 京 ICP备13008828号

小黑屋|手机版|Archiver|三维网 ( 京ICP备2023026364号-1 )

快速回复 返回顶部 返回列表