QQ登录

只需一步,快速开始

登录 | 注册 | 找回密码

三维网

 找回密码
 注册

QQ登录

只需一步,快速开始

展开

通知     

查看: 2339|回复: 3
收起左侧

[已解决] 链传动中心距调整范围

[复制链接]
发表于 2010-9-16 23:09:34 | 显示全部楼层 |阅读模式 来自: 中国江苏淮安

马上注册,结识高手,享用更多资源,轻松玩转三维网社区。

您需要 登录 才可以下载或查看,没有帐号?注册

x
本帖最后由 zhibiao2005 于 2010-9-18 14:04 编辑 & \9 s5 a  d5 U) t. B0 O

4 i5 Y  N; d2 x  r% g% H请教各位:6 U  `  d( I: H. q
      设计磙子链传动时,其中心距调整范围应取多大?5 K; u6 ]+ ]& L( }' e8 ~+ g
      我查找过好多手册都没有找到,设计是有参考图还好办,没参考图是就不知道如何是好了。
发表于 2010-9-17 07:53:22 | 显示全部楼层 来自: 中国江苏常州
一般是链条节距的30~50倍左右
发表于 2010-9-17 11:20:37 | 显示全部楼层 来自: 中国山西太原
本帖最后由 gaoyns 于 2010-9-17 11:25 编辑 + b% [# J6 l' z$ k1 K. w
" h. |* p  Z8 r, g( |
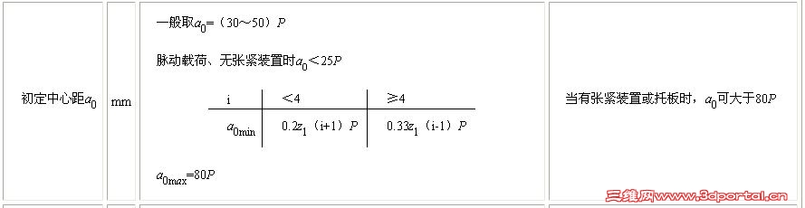
链传动的中心距初定时一般为30—50P;脉动截荷无张紧装置时,应小于25P;有张紧轮或托板时可大于80P,见下表:
链传动中心距.jpg
发表于 2010-9-17 11:56:31 | 显示全部楼层 来自: 中国江苏常州
高老先生说得就更全面了!
发表回复
您需要登录后才可以回帖 登录 | 注册

本版积分规则


Licensed Copyright © 2016-2020 http://www.3dportal.cn/ All Rights Reserved 京 ICP备13008828号

小黑屋|手机版|Archiver|三维网 ( 京ICP备2023026364号-1 )

快速回复 返回顶部 返回列表