QQ登录

只需一步,快速开始

登录 | 注册 | 找回密码

三维网

 找回密码
 注册

QQ登录

只需一步,快速开始

展开

通知     

楼主: oceandee
收起左侧

[讨论] 我做的机床静压工作台设计与遇到的问题

[复制链接]
发表于 2008-2-21 08:36:58 | 显示全部楼层 来自: 中国天津
原帖由 oceandee 于 2008-2-20 22:22 发表 http://www.3dportal.cn/discuz/images/common/back.gif) Y0 X( F7 _7 ~4 }+ v$ E0 A
我理解多头泵无法实现大流量
6 J6 C0 c& I! \9 [9 Q6 ^% ?而阀块的那种可以大流量
, Z$ r7 n) {0 W! K( H! ]! X
$ W8 V. Y8 _% Q: ?" m还有一个问题就是毛细孔阻尼节流的效果是不是不好?
5 l( S: s. @2 w% S  Y4 Z3 F$ ~昨天看到87年的一台法国落地镗就是毛细孔阻尼节流,但现在很少有用的了
看起来似乎多头泵贵,还只能实现低压小流量,流量分配器便宜、流量可大可小,压力可高可低,为什么很多静压导轨还是用多头泵而不用分流马达呢?
01.JPG
发表于 2008-2-21 14:13:55 | 显示全部楼层 来自: 中国湖北武汉
阀块那种我们之前的设计也是采用多头泵结构,由于端面受力大,紧固达不到要求,且不能输出大压力.所以改成这样.
# A' B4 }9 \; p8 X  ?. G" i60L/min分油器轴速度是按450rpm 设计的,如果到极限应为240L/min.
发表于 2008-2-23 13:07:31 | 显示全部楼层 来自: 中国湖北武汉
使力你好!
4 ~" g# N" c9 m! \8 H% F我厂有一台齐重6.3米单柱立车,动压的,能改成静压的吗?有没有先例.
发表于 2008-2-26 20:29:24 | 显示全部楼层 来自: 中国湖北武汉
20年前就改过一台齐重6米3立车,用户-----长沙水泵厂
发表于 2008-2-29 22:21:31 | 显示全部楼层 来自: 中国湖北武汉
各位搞静压的朋友,我的第一张多头泵效果图出来了.8 Z, [- m, i! G, w$ W8 u( q5 P) [! p
   小流量多头泵效果图_01.jpg
头像被屏蔽
发表于 2008-3-1 20:21:15 | 显示全部楼层 来自: 中国上海
提示: 作者被禁止或删除 内容自动屏蔽
发表于 2008-3-2 07:57:54 | 显示全部楼层 来自: 中国天津
我从vivolo的样本截的图.个人感觉同步马达应该比多点泵便宜的吧.
发表于 2008-3-2 08:38:53 | 显示全部楼层 来自: 中国湖北武汉

回复 57# 的帖子

你是用维沃洛和福鸟比较的吧.
 楼主| 发表于 2008-3-3 19:19:03 | 显示全部楼层 来自: 中国辽宁沈阳
我看见的一种德国的恒定流量分配阀
) `  d) e! A  d! y, ]和多头泵式一样的用处
RIMG0435_exposure.jpg
RIMG0439.jpg
 楼主| 发表于 2008-3-3 19:22:13 | 显示全部楼层 来自: 中国辽宁沈阳
这种定量输出阀的原理图
+ `' z8 k; x5 I5 ?/ L% p
) g& x$ w! m+ O8 `. w请教这是什么样的结构呢?材质象是铝的整个阀块很轻" e2 @( @3 p8 d" O
和多头泵是否完全一样
原理.jpg
RIMG0437_exposure.jpg
发表于 2008-3-4 19:59:47 | 显示全部楼层 来自: 中国浙江宁波
楼主:
1 X0 ]! [4 M9 k( l       请教闭式静压单油垫流量系数怎么计算?计算公式求教。
发表于 2008-3-5 12:18:53 | 显示全部楼层 来自: 中国湖北武汉

回复 61# 的帖子

就是22楼的第一个公式Qp,且不论是闭式还是开式。
发表于 2008-3-5 12:32:47 | 显示全部楼层 来自: 中国湖北武汉
看了,让我想一想。( @/ Q3 m( {5 k( @  [6 _
还是节流器方式,关键是反馈。可把元件搞清楚吗?结构,调节方式,通信方式。
发表于 2008-3-5 21:17:07 | 显示全部楼层 来自: 中国浙江宁波

回复 62# 的帖子

Qp的流量公式是22楼的那个。
* D. \4 P6 u0 m7 E可是Qp公式内有个B值公式,闭式的公式B=1/6[(L+l/B1-b1)+(B1+b1/L-l)+(L+l/B2-b2)+(B2+b2/L-l)???是这样的公式吗?  M6 ^& m7 R2 V3 y0 n0 d' w
上下腔长度相等,宽度不等。% m# a4 M# H! h0 h1 a1 D3 }, n
可是按照这个公式B值太大,流量求出来需要4L多,有点不太合理。
发表于 2008-3-6 21:30:17 | 显示全部楼层 来自: 中国湖北武汉
另外两种安装形式的多头泵.
5 ?) e# W) X+ U 550W法兰式.jpg 550W直联式.jpg
发表于 2008-3-7 13:07:22 | 显示全部楼层 来自: 中国浙江宁波
我的静压布置图

静压.pdf

22.82 KB, 下载次数: 33

发表于 2008-3-7 22:20:20 | 显示全部楼层 来自: 中国湖北武汉

回复 66# 的帖子

上油腔流量114ml/min.油膜厚度0.04.$ c2 F/ O9 A% w8 Y# S: m- m4 C! _9 O
下油腔相同流量相同压力的油膜厚度0.03.4 n# Y& L' r% |( o. m7 p' k
差条件:下油腔所需刚度.
发表于 2008-3-8 22:03:45 | 显示全部楼层 来自: 中国天津
vivolo的分油器有谁用过,效果如何?
发表于 2008-3-9 12:39:20 | 显示全部楼层 来自: 中国湖北武汉

回复 68# 的帖子

瓦房店的立车是用vivolo的分油器,20-30L/min。12节要3-4W。结构一样,也是用齿轮同步分油,没拆过,不知道每节齿轮齿厚公差多大。我的这种齿厚不等相差0.003以内。
发表于 2008-3-9 20:34:49 | 显示全部楼层 来自: 中国浙江宁波

回复 67# 的帖子

求救使力老师,怎么求得的。流量这么小吗?看来我算的是有问题。
发表于 2008-3-23 17:02:47 | 显示全部楼层 来自: 中国江西南昌

实用的

哪位大师能把实际应用的静压导轨的原理图和用于安装的管路图发一个上来供大家学习就好了
发表于 2008-3-24 08:52:05 | 显示全部楼层 来自: 中国浙江宁波
有两个问题请教下; ^. K* v6 e, L" F0 s$ Q3 Z
1、A1,A2是如何计算的,计算公式?' H" t4 {! [1 }! G$ n; t8 z& ~
2、E是什么,如何取的?
发表于 2008-3-26 12:13:47 | 显示全部楼层 来自: 中国湖北武汉

回复 70# 的帖子

1.不论闭式静压导轨还是开式静压导轨的有效承载面积计算是一样,对于矩形导轨油腔尺寸长、宽为a和b,外框尺寸长、宽为A和B,有效承载面积=(A+a)/2*(B+b)/2
6 w; q7 G, A1 E: v4 w/ T2.流量计算按平行平板缝隙节流流量公式
0 L( A' |5 @/ n- N3.节流边系数=节流边长度/节流宽度=(A+a)/(B-b)/2+*(B+b)/=(A-a)/28 B: I$ R: E  Q/ W
4.把节流边系数,油腔压力,油膜厚度,油腔有效面积代入平行平板缝隙节流流量公式即得出一个油腔所需流量。
- S) d! [& P2 J- D- N5 S注意各参数单位
发表于 2008-3-26 21:51:41 | 显示全部楼层 来自: 中国浙江宁波
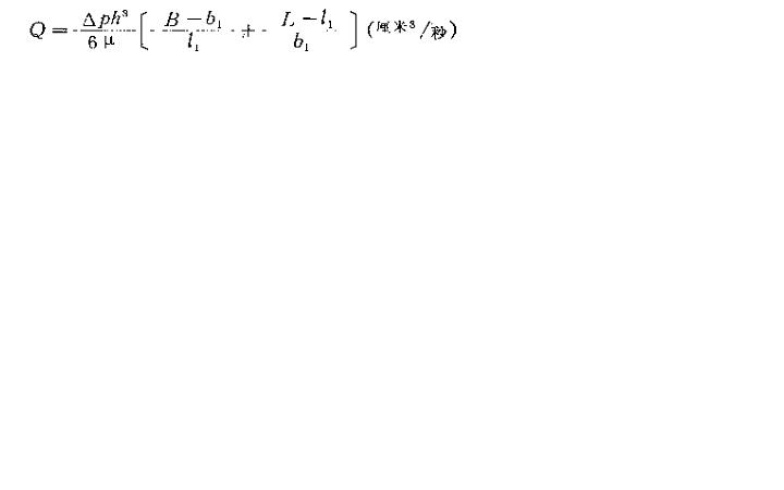
是这个流量公式吗?
1.JPG
发表于 2008-3-27 21:54:23 | 显示全部楼层 来自: 中国湖北武汉
把(B-b)/l1+(L-l)/b1换成A+a)/(B-b)/2+*(B+b)/=(A-a)/2
发表回复
您需要登录后才可以回帖 登录 | 注册

本版积分规则


Licensed Copyright © 2016-2020 http://www.3dportal.cn/ All Rights Reserved 京 ICP备13008828号

小黑屋|手机版|Archiver|三维网 ( 京ICP备2023026364号-1 )

快速回复 返回顶部 返回列表