QQ登录

只需一步,快速开始

登录 | 注册 | 找回密码

三维网

 找回密码
 注册

QQ登录

只需一步,快速开始

展开

通知     

查看: 1878|回复: 15
收起左侧

[分享] 绿色版椭圆周长计算器(精确度千亿分之一)

[复制链接]
发表于 2016-1-30 21:35:25 | 显示全部楼层 |阅读模式 来自: 中国广东肇庆

马上注册,结识高手,享用更多资源,轻松玩转三维网社区。

您需要 登录 才可以下载或查看,没有帐号?注册

x
由于椭圆积分非初等函数,所以此计算器专门计算椭圆周长,精确度千亿分之一。
( H" T0 p1 G! w. j与大家分享,只是不知道这个千亿分之一的精确度是怎样比较出来的。
4 a' v/ U: C9 m+ Z/ |  B- @/ s$ q' B% b5 c% F
椭圆周长计算器.rar (4.09 KB, 下载次数: 65)

评分

参与人数 1三维币 +3 收起 理由
阿帕奇 + 3

查看全部评分

发表于 2016-1-30 22:05:45 | 显示全部楼层 来自: 中国北京
好用。谢谢分享。
发表于 2016-1-30 22:19:47 | 显示全部楼层 来自: 中国浙江嘉兴
有個近似公式,就不知精度如何!" y2 K2 \2 U; g5 @- q& C  |! B
L:周長  ,  a:半長軸  ,  b:半短軸
' ?/ z# i: F. R' |/ V6 ^9 ]. E8 X! j4 i$ A: w9 R( b; O, T" W, P) \' ~5 @
t-1.png
  ~5 D+ D' H7 {# E
7 E; A: d4 P" S# M; `
 楼主| 发表于 2016-1-30 22:24:55 | 显示全部楼层 来自: 中国广东肇庆
还可以计算圆的周长+ I+ Y, l1 ?1 Q: R+ l
比如直径100的圆周长为314.1592653589793238462643383279……0 ?# H0 v6 R- X

& [; z" G  m6 Q8 `0 X3 \; r: k软件的计算结果" C; n2 y' p4 y* j- a0 ]) ]- P
) [! m4 }6 S; G, R  }( C
Snap6.jpg
 楼主| 发表于 2016-1-31 01:32:37 | 显示全部楼层 来自: 中国广东肇庆
ryouss 发表于 2016-1-30 22:19
8 M: p( o1 P( N* s! z! V0 q4 b有個近似公式,就不知精度如何!( R, \2 o( G6 N0 h
L:周長  ,  a:半長軸  ,  b:半短軸
* {' u9 T* `" s( ?, l  `
梁大的公式用来计算长短半轴相等的椭圆圆相当精确。0 s3 S8 `9 y& b5 @; e
对以下图形,软件自带的测量、公式和计算器的结果都不一样。
9 g- X7 L" l  h
' U2 E: F/ g4 ?  s1 l0 W# B4 C! E0 M Snap2.jpg
& T& V0 D" \+ r3 K4 \$ S+ H
发表于 2016-1-31 08:01:41 | 显示全部楼层 来自: 中国浙江宁波
谢谢梁大分享快乐~~~
发表于 2016-1-31 15:15:45 | 显示全部楼层 来自: 中国广东中山
可以输入负值的程序不完美,我就喜欢钻牛角
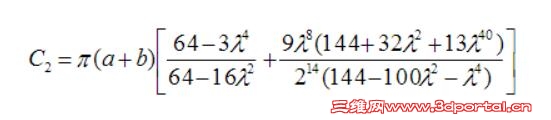
发表于 2016-1-31 19:09:55 | 显示全部楼层 来自: 中国江苏南京
试试这个公式,据说很精确9 `2 C* R+ L+ E* G. F

) O: u4 V% u" V QQ截图20160131190649.jpg QQ截图20160131190856.jpg
# c, j- I( u6 I+ |4 g1 q
8 w# ~! I1 T2 S- x/ ?
发表于 2016-2-1 08:21:31 | 显示全部楼层 来自: 中国浙江湖州
这是SW路径长度功能计算的椭圆周长,咋相差这么多?

SW路径长度功能计算的椭圆周长

SW路径长度功能计算的椭圆周长
6 t. c" D2 D1 F+ Q1 B/ c* w

; R1 D4 X9 q5 x! X* [1 `
发表于 2016-2-1 12:11:11 | 显示全部楼层 来自: 中国浙江湖州
不好意思看错了,SW路径长度功能与椭圆周长计算器计算的结果是一样的!
发表于 2016-2-1 12:57:10 | 显示全部楼层 来自: 中国天津
画出椭圆直接测量是否更方便?
 楼主| 发表于 2016-2-2 09:11:36 | 显示全部楼层 来自: 中国广东肇庆
zhaogh66 发表于 2016-2-1 12:57
  x+ O+ k4 {' L$ l7 H' c- A% L画出椭圆直接测量是否更方便?

6 D: ^, D. Q; E) ~讨论的是SW中那个测量工具测的结果不准确啊。
 楼主| 发表于 2016-2-2 09:13:05 | 显示全部楼层 来自: 中国广东肇庆
ajyflxp 发表于 2016-2-1 12:110 j' I0 P) X. I3 {4 e* X2 b
不好意思看错了,SW路径长度功能与椭圆周长计算器计算的结果是一样的!
* b8 ^2 H; E4 ~6 a% P5 k
说明SW中测量工具和路径长度测量的计算方法是不一样的,路径的才是准确的。
发表于 2016-2-2 10:24:33 | 显示全部楼层 来自: 中国山东威海
学习了~~~~原来椭圆路径这么难算
发表于 2016-2-2 15:52:43 | 显示全部楼层 来自: 中国台湾
用9樓公式編一個 002.gif
4 H8 a  z; A8 z- c& @+ L3 u. h: \* R2 u) I6 K) I- T- [! Y& }5 N5 Q

: ]$ L# p5 L. n4 [8 u7 k& ] 橢圓週長計算.zip (3.48 KB, 下载次数: 6)
 楼主| 发表于 2016-2-2 20:29:34 | 显示全部楼层 来自: 中国广东肇庆
hero522 发表于 2016-2-2 15:52
) @) v- f& E' [; o用9樓公式編一個

, W+ M- n! k4 u8 P9 F( M英雄大真是奇才。
发表回复
您需要登录后才可以回帖 登录 | 注册

本版积分规则


Licensed Copyright © 2016-2020 http://www.3dportal.cn/ All Rights Reserved 京 ICP备13008828号

小黑屋|手机版|Archiver|三维网 ( 京ICP备2023026364号-1 )

快速回复 返回顶部 返回列表